Fig. 6

Download original image
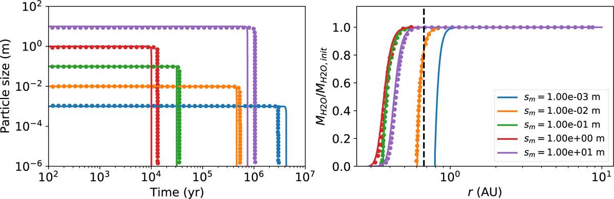
Particle size as a function of time (left panel) and ice mass (scaled with the initial ice mass) as a function of radial distance (right panel) for pure H2O particles undergoing radial drift and thermal sublimation. Different colors denote different particles sizes. The trajectories predicted by the model of this work (solid lines) are compared with the trajectories calculated by Piso et al. (2015; dots). The vertical dashed line in the right panel denotes the position of the H2O iceline at 0.67 AU as calculated by Piso et al. (2015).
Current usage metrics show cumulative count of Article Views (full-text article views including HTML views, PDF and ePub downloads, according to the available data) and Abstracts Views on Vision4Press platform.
Data correspond to usage on the plateform after 2015. The current usage metrics is available 48-96 hours after online publication and is updated daily on week days.
Initial download of the metrics may take a while.