Fig. 1.

Download original image
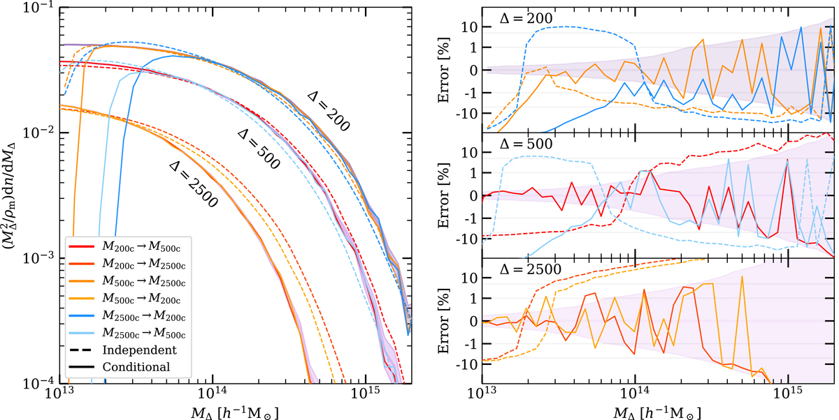
Comparison of the accuracy of the mass dependent HMF transfer formalism with the marginalised formalism. The latter provides poor reconstructions while accounting for the mass dependence results with predictions that are exact to the level of statistical uncertainty. Left panel: estimated HMFs (purple shaded area) at z = 0 from the Uchuu halo catalogues for overdensities Δ = 200, 500, and 2500 (in units of the critical density) plotted against the inward (200 → 500, 200 → 2500, and 500 → 2500) and outward (2500 → 500, 2500 → 200, and 500 → 200) reconstructed HMFs from Eqs. (4) and (5), respectively, assuming the marginal sparsity distribution (dashed lines) and conditional distribution (solid lines). Right panels: relative error between the reconstructions and the measured HMF at Δ = 200 (top panel), Δ = 500 (mid panel), and Δ = 2500 (bottom panel). The shaded areas around the measured HMFs represents the statistical error on the measurement estimated as the standard deviation over 103 bootstrap iterations.
Current usage metrics show cumulative count of Article Views (full-text article views including HTML views, PDF and ePub downloads, according to the available data) and Abstracts Views on Vision4Press platform.
Data correspond to usage on the plateform after 2015. The current usage metrics is available 48-96 hours after online publication and is updated daily on week days.
Initial download of the metrics may take a while.