Open Access

Fig. 3.

image

Download original image

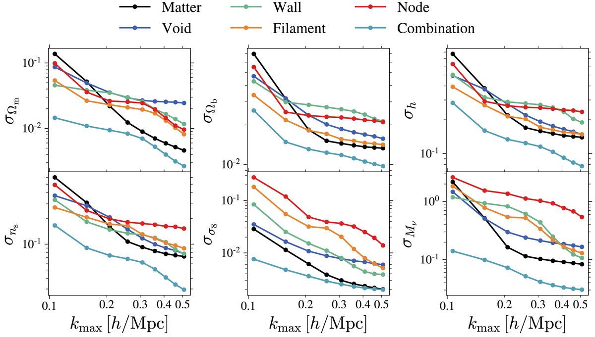
Evolution of the marginalised constraint σθi given by on cosmological parameters {Ωm, Ωb, h, ns, σ8} and the sum between neutrino mass Mν and the maximum scale used for the Fisher analysis, kmax. Here, σMν is in units of eV.

Current usage metrics show cumulative count of Article Views (full-text article views including HTML views, PDF and ePub downloads, according to the available data) and Abstracts Views on Vision4Press platform.

Data correspond to usage on the plateform after 2015. The current usage metrics is available 48-96 hours after online publication and is updated daily on week days.

Initial download of the metrics may take a while.