Open Access

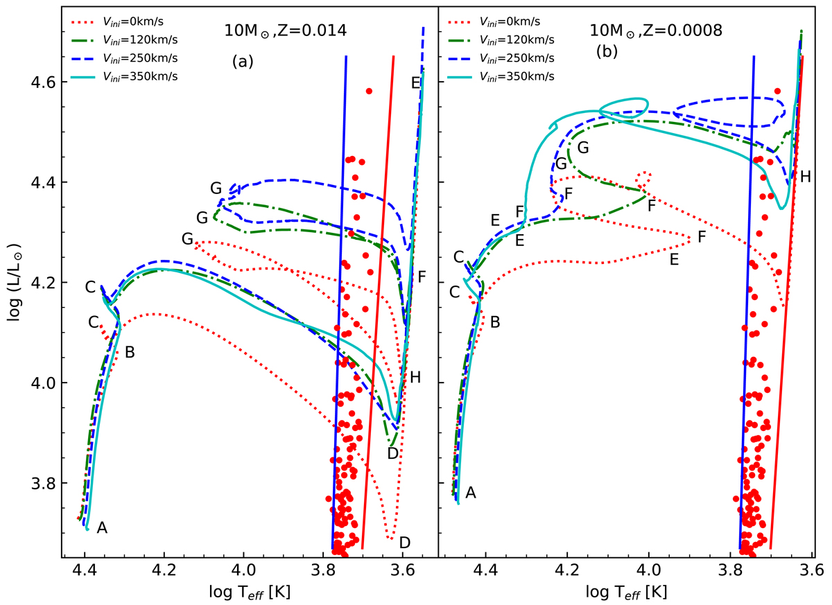
Fig. 1.

image

Download original image

Evolutionary tracks of the stars on the HR diagram. Panel a: for the 10 M stars with Z = 0.014 but with different initial rotational velocities, vini = 0 km s−1, 120 km s−1, 250 km s−1, 350 km s−1. Panel b: for the 10 M stars with Z = 0.0008 but with the corresponding different initial rotational velocities. The instability strip and observational data are from Bono et al. (2000), Turner & Burke (2002), Tammann et al. (2003). Point A in both panels corresponds to the position of the ZAMS and point B corresponds to the start of the overall contraction phase near the end of the main sequence (i.e. the central hydrogen mass fraction Xc ≈ 0.03). Point C corresponds to the exhaustion of hydrogen in the centre and the disappearance of the convective core and point D in the left panel implies the bottom of the Hayashi line. Point E indicates the ignition of the core helium and point F denotes the starting point of the blue loop. Point G implies the bluest location of the blue loop and point H illustrates the terminal of the blue loop.

Current usage metrics show cumulative count of Article Views (full-text article views including HTML views, PDF and ePub downloads, according to the available data) and Abstracts Views on Vision4Press platform.

Data correspond to usage on the plateform after 2015. The current usage metrics is available 48-96 hours after online publication and is updated daily on week days.

Initial download of the metrics may take a while.