Fig. 2.

Download original image
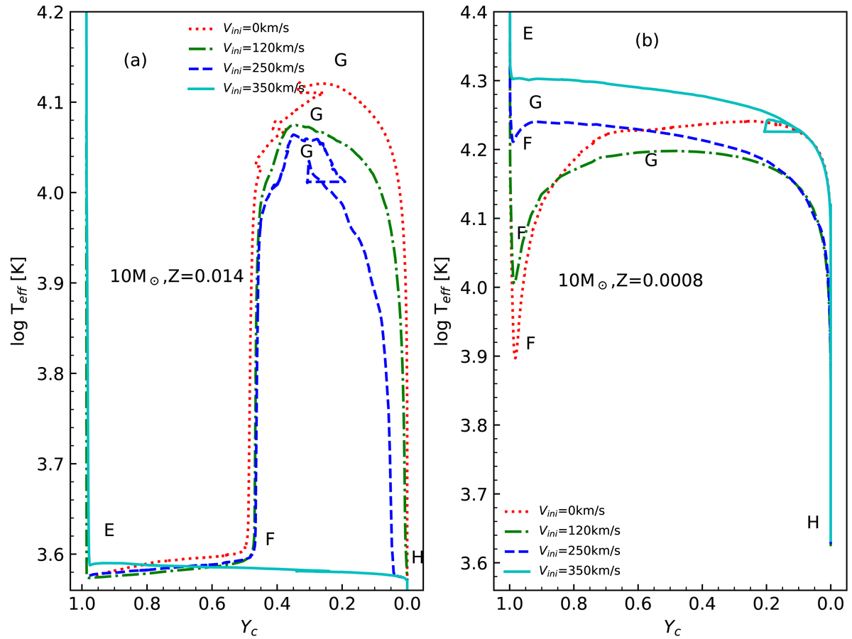
Effective temperature Teff as a function of central helium mass fraction Ycenter during the core helium burning. Panel a: for the 10 M⊙ stars with Z = 0.014 but with different initial rotational velocities, vini = 0 km s−1, 120 km s−1, 250 km s−1, 350 km s−1. Panel b: for the 10 M⊙ stars with Z = 0.0008 but with with the corresponding different initial rotational velocities.
Current usage metrics show cumulative count of Article Views (full-text article views including HTML views, PDF and ePub downloads, according to the available data) and Abstracts Views on Vision4Press platform.
Data correspond to usage on the plateform after 2015. The current usage metrics is available 48-96 hours after online publication and is updated daily on week days.
Initial download of the metrics may take a while.