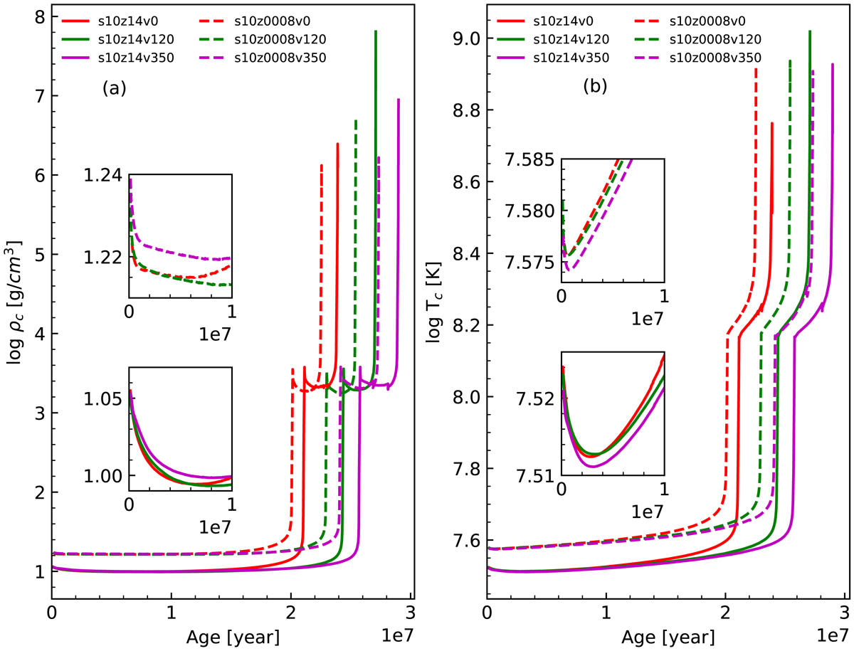
Fig. 5.

Download original image
Evolution of central temperature and central density as a function of evolutionary time. Panel a: evolution of central density as a function of evolutionary time for the 10 M⊙ stars with Z = 0.014 but with different initial rotational velocities of vini = 0 km s−1, 120 km s−1, 350 km s−1. Panel b: evolution of central temperature as a function of the evolutionary time for the 10 M⊙ stars with Z = 0.0008 but with different initial rotational velocities of vini = 0 km s−1, 120 km s−1, 350 km s−1.
Current usage metrics show cumulative count of Article Views (full-text article views including HTML views, PDF and ePub downloads, according to the available data) and Abstracts Views on Vision4Press platform.
Data correspond to usage on the plateform after 2015. The current usage metrics is available 48-96 hours after online publication and is updated daily on week days.
Initial download of the metrics may take a while.