Fig. 8

Download original image
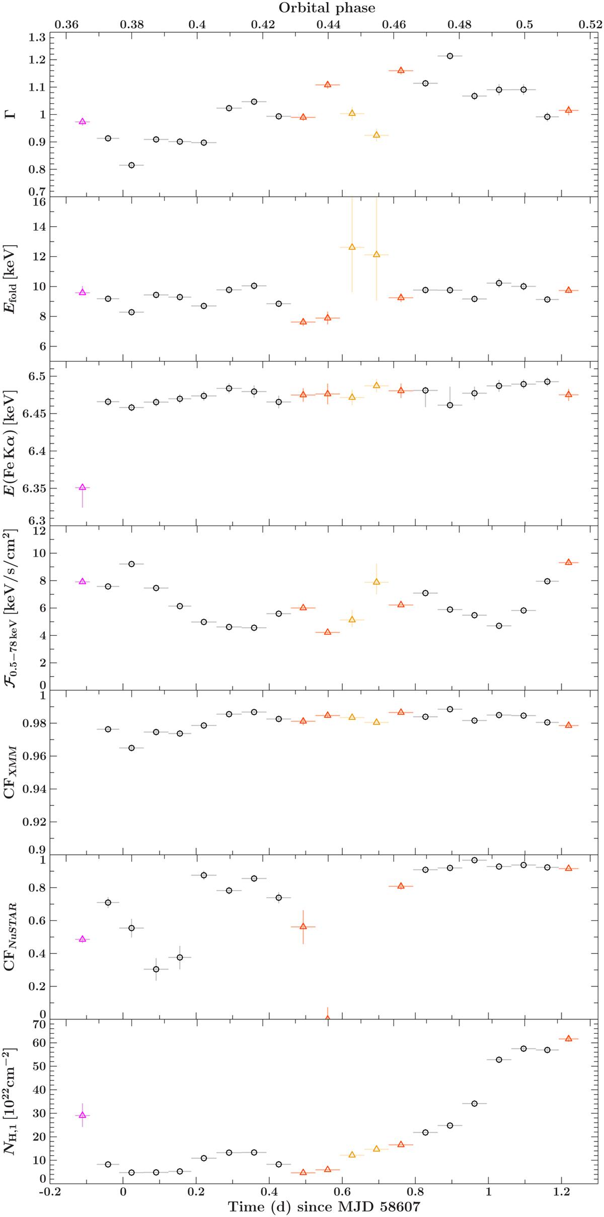
Results of the NuSTAR-orbit-by-orbit analysis with NuSTAR and XMM-Newton as a function of time, together with the corresponding binary orbital phase. From top to bottom: Photon index (Γ), folding energy (Efold) in keV, energy of the FeKα line in keV, unab-sorbed flux ℱ0.5−78,keV in keV s−1 cm−2, CFs with NuSTAR (CFNuSTAR) and XMM-Newton EPIC-pn (CFXMN), absorption from the stellar wind NH,1 in 1022 cm−2. Circles show data fully covered by both XMM-Newton EPIC-pn and NuSTAR. Triangles show data missing coverage from one of the two instruments. Magenta marks the data only covered by NuSTAR (NuSTAR-orbit 1) and orange the data fully covered by one instrument but partially by the second one (NuSTAR-orbits 10, 11, 14 and 21). Finally, yellow is used to denote data only covered by XMM-Newton EPIC-pn (NuSTAR-orbits 12 and 13).
Current usage metrics show cumulative count of Article Views (full-text article views including HTML views, PDF and ePub downloads, according to the available data) and Abstracts Views on Vision4Press platform.
Data correspond to usage on the plateform after 2015. The current usage metrics is available 48-96 hours after online publication and is updated daily on week days.
Initial download of the metrics may take a while.