Open Access
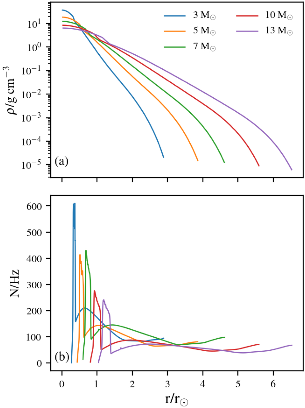
Fig. 1.

Download original image
Density (a) and Brunt–Väisälä frequency (b) profiles as functions of stellar radius, in units of total solar radius. All the models are cut at 90% the total stellar radius to ensure numerical stability.
Current usage metrics show cumulative count of Article Views (full-text article views including HTML views, PDF and ePub downloads, according to the available data) and Abstracts Views on Vision4Press platform.
Data correspond to usage on the plateform after 2015. The current usage metrics is available 48-96 hours after online publication and is updated daily on week days.
Initial download of the metrics may take a while.