Open Access

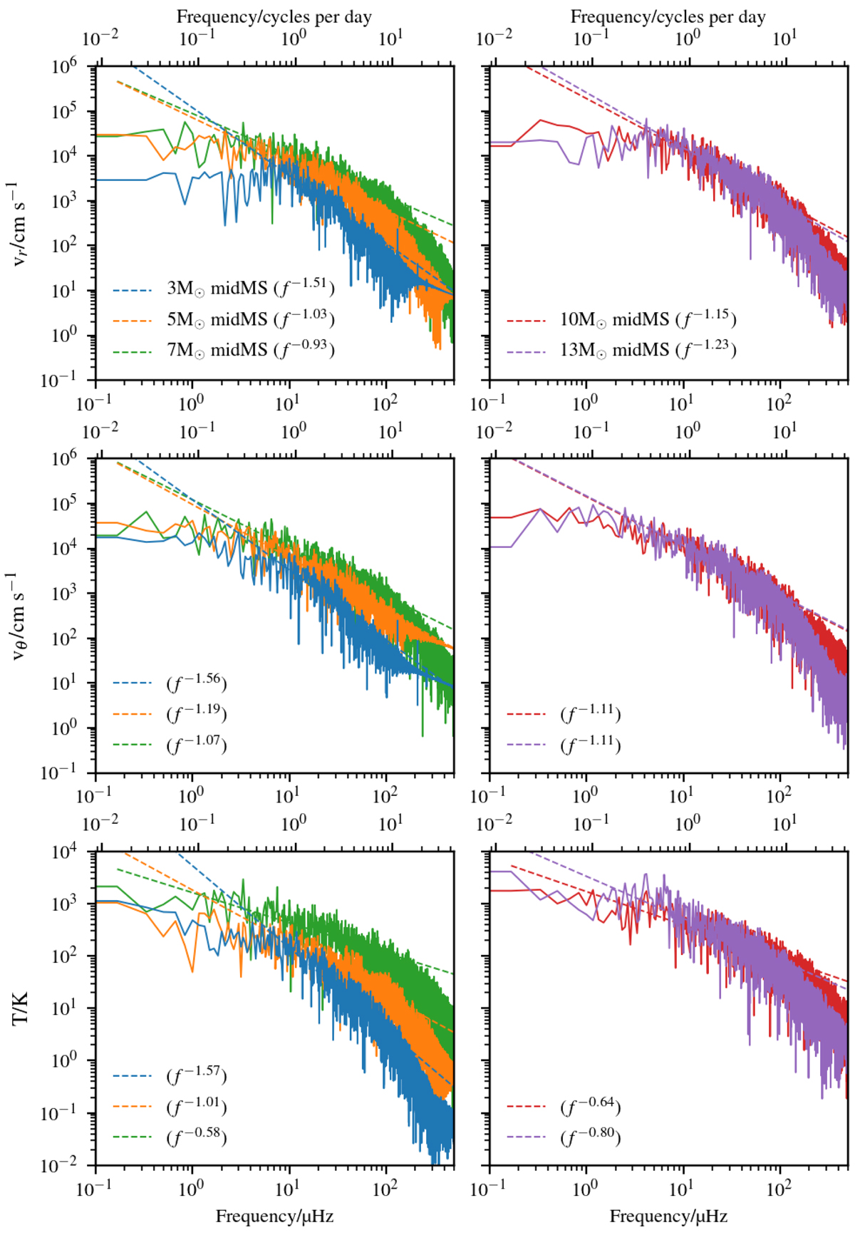
Fig. 6.

image

Download original image

Radial velocities (top panels), tangential velocities (middle panels), and temperatures (bottom panels) as a function of frequency for different stellar masses in the middle of the convection zone for a randomly chosen radial ray. The dashed lines show the line fits to each profile at frequencies between 8 μHz and 30 μHz.

Current usage metrics show cumulative count of Article Views (full-text article views including HTML views, PDF and ePub downloads, according to the available data) and Abstracts Views on Vision4Press platform.

Data correspond to usage on the plateform after 2015. The current usage metrics is available 48-96 hours after online publication and is updated daily on week days.

Initial download of the metrics may take a while.