Fig. 4.

Download original image
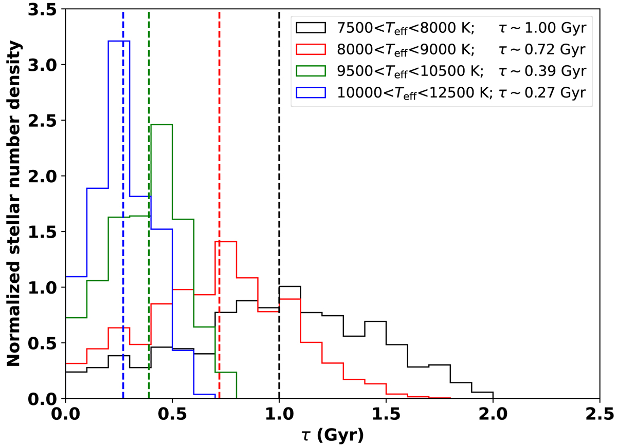
Age distributions of stars within the metallicity range of −0.5 dex and 0.5 dex in these four effective temperature bins of 7500 < Teff < 8000 K, 8500 < Teff < 9000 K, 9500 < Teff < 10 500 K, and 10 000 < Teff < 12 500 K predicted by the PARSEC isochrones. The median ages are over-plotted with dashed lines. The effective temperature ranges and median ages for each bin are marked in the top right corner of the figure.
Current usage metrics show cumulative count of Article Views (full-text article views including HTML views, PDF and ePub downloads, according to the available data) and Abstracts Views on Vision4Press platform.
Data correspond to usage on the plateform after 2015. The current usage metrics is available 48-96 hours after online publication and is updated daily on week days.
Initial download of the metrics may take a while.