Fig. 14

Download original image
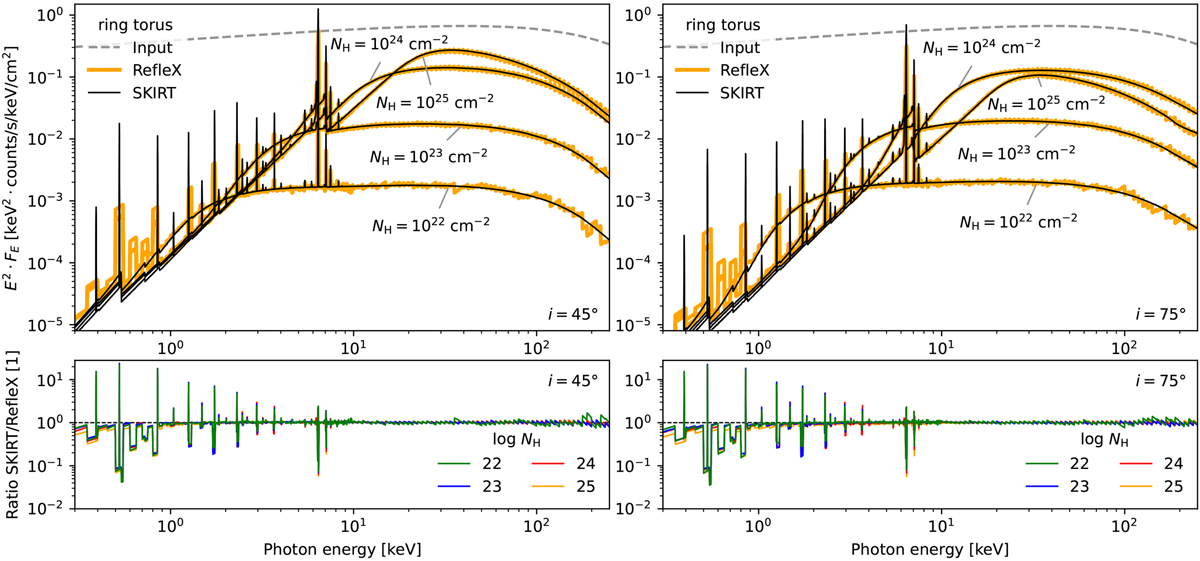
Fifth SKIRT benchmark (Sect. 4.2.2), comparing SKIRT simulations of a torus model against the corresponding RXTORUS model spectra as calculated with REFLEX. The opening angle of the ring torus is 60°. The equatorial hydrogen column density NH of the torus is indicated on the figure, for each simulation. Left: scattered photon flux, for a line of sight not intersecting the obscuring torus (i = 45°). Right: scattered photon flux, looking through the obscuring torus (i = 75°). We find an excellent agreement between both codes, for all column densities and sightlines.
Current usage metrics show cumulative count of Article Views (full-text article views including HTML views, PDF and ePub downloads, according to the available data) and Abstracts Views on Vision4Press platform.
Data correspond to usage on the plateform after 2015. The current usage metrics is available 48-96 hours after online publication and is updated daily on week days.
Initial download of the metrics may take a while.