Fig. 17

Download original image
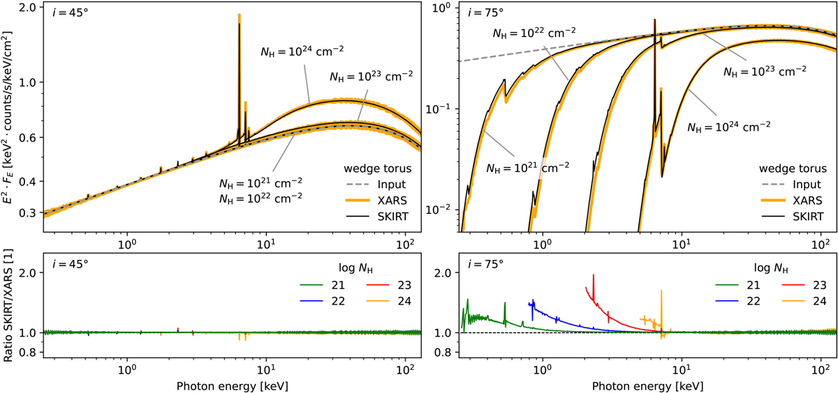
Seventh SKIRT benchmark (Sect. 4.2.4), comparing SKIRT simulations of a torus model against the corresponding XARS spectra. The opening angle of the wedge torus is 60°. The equatorial hydrogen column density NH of the torus is indicated on the figure, for each simulation. Left: total photon flux, for a line of sight not intersecting the obscuring torus (i = 45°). Right: total photon flux, looking through the obscuring torus (i = 75°). Both codes are in excellent agreement. The small offset below 12.5 keV is explained by differences in the atomic data (see text).
Current usage metrics show cumulative count of Article Views (full-text article views including HTML views, PDF and ePub downloads, according to the available data) and Abstracts Views on Vision4Press platform.
Data correspond to usage on the plateform after 2015. The current usage metrics is available 48-96 hours after online publication and is updated daily on week days.
Initial download of the metrics may take a while.