Fig. 8

Download original image
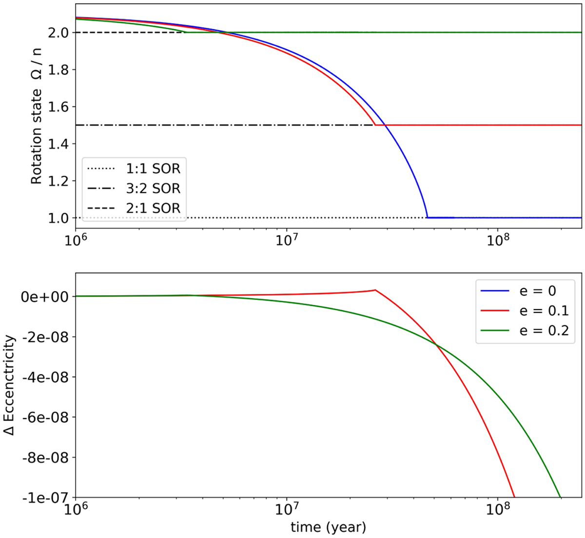
Evolution of a Venus-like planet with an initial rotation of 100 days for three initial eccentricities (i.e., the null eccentricity, and the 0.1 and 0.2 eccentricities). The top panel shows the evolution of the planet rotation rate in terms of Ω/n (Ω and η are the spin and mean motion, respectively). The bottom panel shows the variation in eccentricity Δe (i.e., (e − e(0))/e(0)).
Current usage metrics show cumulative count of Article Views (full-text article views including HTML views, PDF and ePub downloads, according to the available data) and Abstracts Views on Vision4Press platform.
Data correspond to usage on the plateform after 2015. The current usage metrics is available 48-96 hours after online publication and is updated daily on week days.
Initial download of the metrics may take a while.