Fig. 17.

Download original image
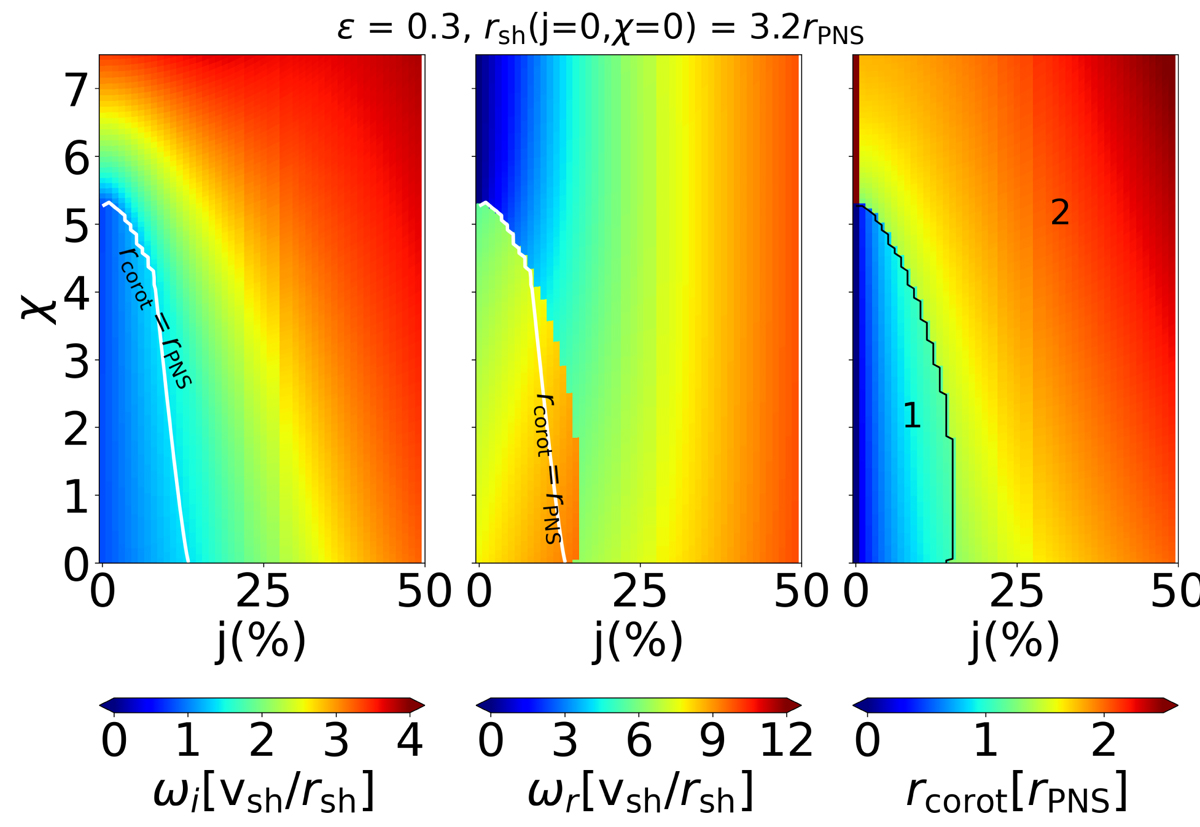
Maps, for varying heating and rotation rates, of the growth rate, the frequency, and the corotation radius of the most unstable fundamental mode between modes m = 1 and m = 2. In the second panel, we plot 2ωr when m = 1 is dominant to account for the doubled frequency expected in the GW signal. In the third panel, the black line separates the regions dominated by the fundamental mode m = 1 or m = 2.
Current usage metrics show cumulative count of Article Views (full-text article views including HTML views, PDF and ePub downloads, according to the available data) and Abstracts Views on Vision4Press platform.
Data correspond to usage on the plateform after 2015. The current usage metrics is available 48-96 hours after online publication and is updated daily on week days.
Initial download of the metrics may take a while.