Fig. 4.

Download original image
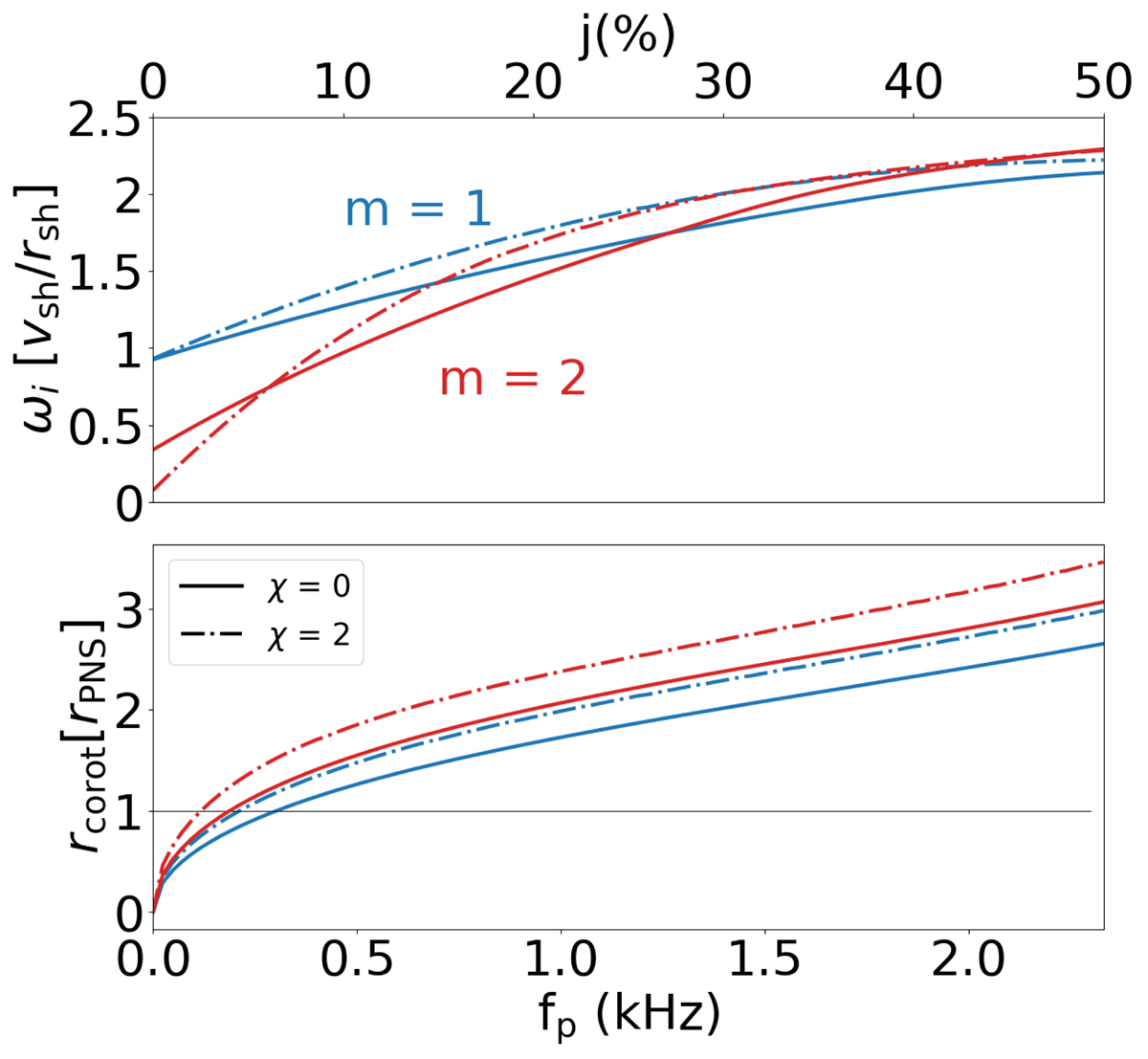
Evolution of the growth rate, ωi, in units of vsh/rsh (top), and the corotation radius in units of rPNS (bottom) as a function of the rotation rate, measured as in Yamasaki & Foglizzo (2008) with fp, the pulsar frequency at 10 km. The azimuthal numbers m = 1 (blue) and m = 2 (red) are displayed for χ = 0 (solid line) and χ = 2 (dash dotted line). To allow for a comparison with Fig. 1 of Yamasaki & Foglizzo (2008), we considered the same parameter rsh = 5 rPNS with a strong adiabatic shock.
Current usage metrics show cumulative count of Article Views (full-text article views including HTML views, PDF and ePub downloads, according to the available data) and Abstracts Views on Vision4Press platform.
Data correspond to usage on the plateform after 2015. The current usage metrics is available 48-96 hours after online publication and is updated daily on week days.
Initial download of the metrics may take a while.