Open Access
Fig. 12

Download original image
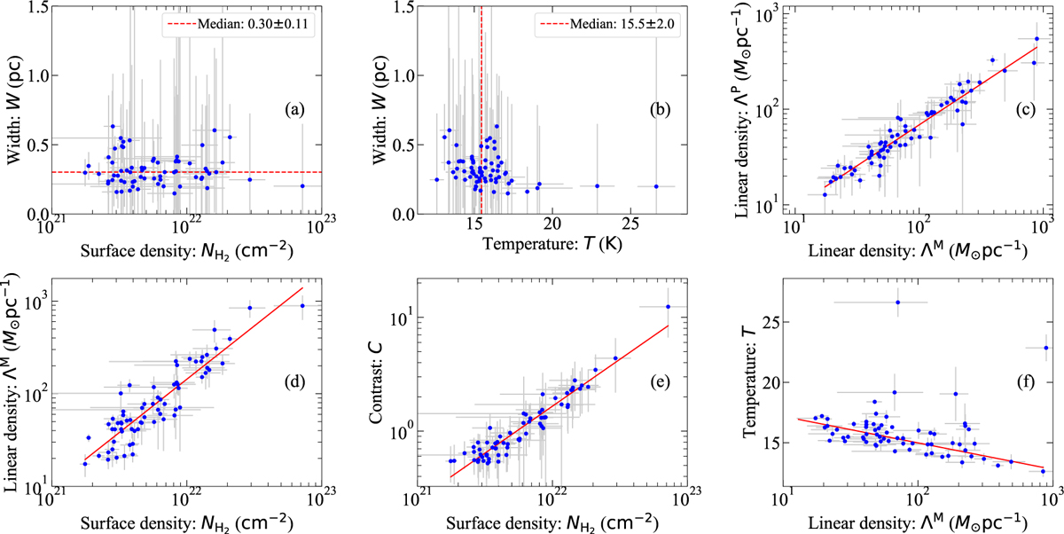
Correlations of physical parameters of 68 filaments in Vela C. The red dashed lines indicate the median values and the red solid lines represent fits to the data: log ΛΡ = 0.86 log ΛΜ + 0.13 (r = 0.96), ,
, T = −2.20 log ΛΜ + 19.38 (r = 0.77), where r is the Pearson product moment correlation coefficient.
Current usage metrics show cumulative count of Article Views (full-text article views including HTML views, PDF and ePub downloads, according to the available data) and Abstracts Views on Vision4Press platform.
Data correspond to usage on the plateform after 2015. The current usage metrics is available 48-96 hours after online publication and is updated daily on week days.
Initial download of the metrics may take a while.