Open Access
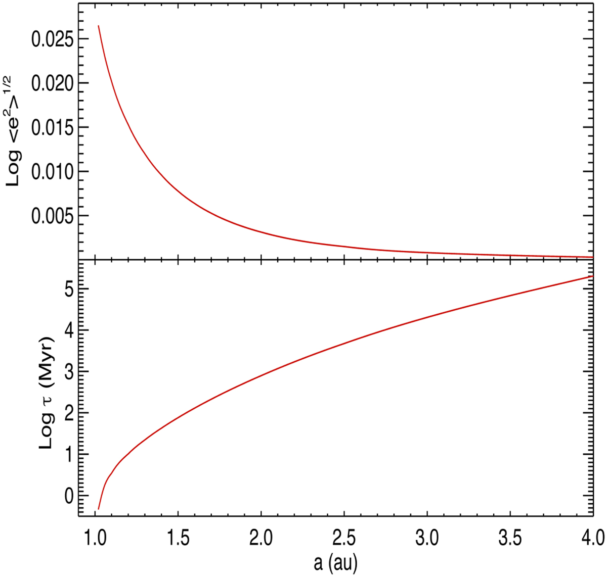
Fig. 5

Download original image
Relevant parameters at the tip of the RGB phase vs. the initial semimajor axis of the planetary orbit. Top panel: mean residual eccentricity 〈e2〉1/2; bottom panel: tidal decay timescale of the eccentricity τe.
Current usage metrics show cumulative count of Article Views (full-text article views including HTML views, PDF and ePub downloads, according to the available data) and Abstracts Views on Vision4Press platform.
Data correspond to usage on the plateform after 2015. The current usage metrics is available 48-96 hours after online publication and is updated daily on week days.
Initial download of the metrics may take a while.