Open Access

Fig. 9

image

Download original image

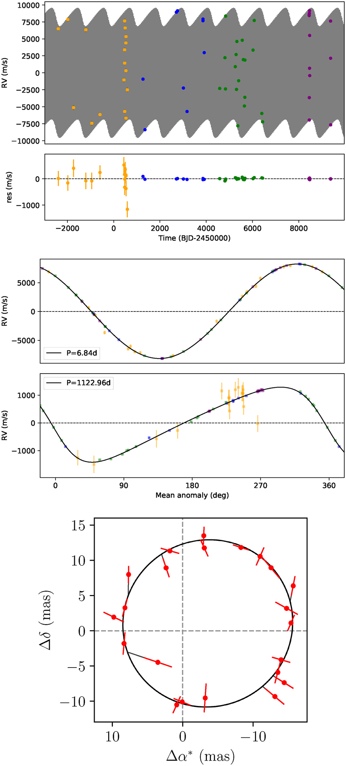
Top two rows: radial velocity best-fit solution and phase folded model curves for triple stellar system HD 94340, with CORAVEL, CORALIE98, CORALIE07, and CORALIE14 measurements shown in orange, blue, green, and purple, respectively. Bottom panel: best-fit solution astrometric orbit induced by HD 94340C. HIPPARCOS intermediate astrometric data shown in red.

Current usage metrics show cumulative count of Article Views (full-text article views including HTML views, PDF and ePub downloads, according to the available data) and Abstracts Views on Vision4Press platform.

Data correspond to usage on the plateform after 2015. The current usage metrics is available 48-96 hours after online publication and is updated daily on week days.

Initial download of the metrics may take a while.