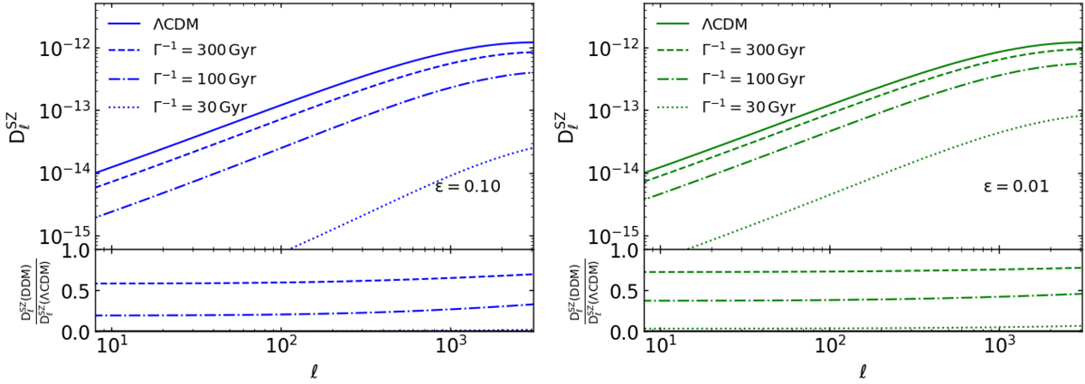
Fig. 2.

Download original image
SZ power spectra with the ΛDDM2 model (DM → WDM+DR) with different decay lifetimes of Γ−1 = 30 (dotted line), 100 (dash-dot line), and 300 (dashed line) Gyr. “ΛCDM” represents the ΛCDM model with stable cold dark matter (solid line). The mass-energy fractions transferred to DR are ε = 0.1 (blue) in the left panel and 0.01 (green) in the right panel. Here, the Planck 2018 cosmological parameters are assumed in all cases.
Current usage metrics show cumulative count of Article Views (full-text article views including HTML views, PDF and ePub downloads, according to the available data) and Abstracts Views on Vision4Press platform.
Data correspond to usage on the plateform after 2015. The current usage metrics is available 48-96 hours after online publication and is updated daily on week days.
Initial download of the metrics may take a while.