Highlight
Open Access

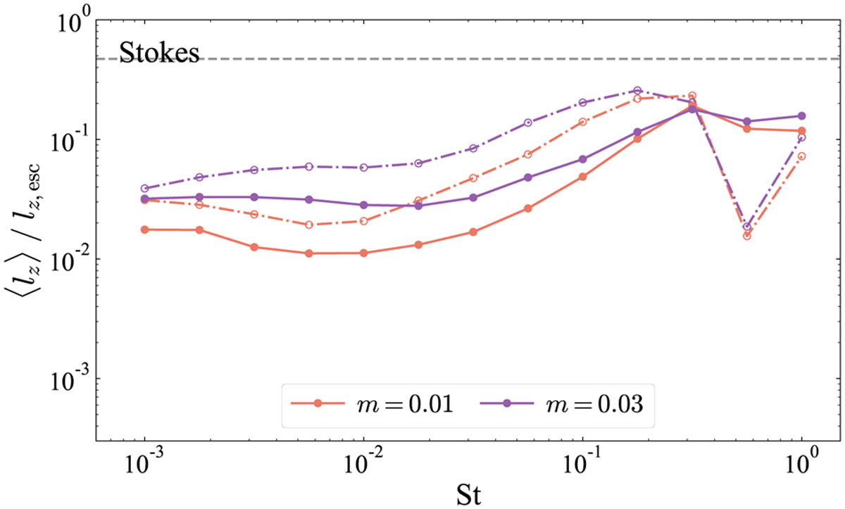
Fig. 10

image

Download original image

Dependence of net SAM transferred to the protoplanet on the orbital radius of the protoplanet. We adopted the Stokes gas drag regime. The solid and dash-dotted lines correspond to the cases of a = 0.1 au and 1 au, respectively. The Mach number of the headwind is ℳhw = 0.03, and the smoothing length is rsm = 0.1 m. Different colors represent different planetary masses.

Current usage metrics show cumulative count of Article Views (full-text article views including HTML views, PDF and ePub downloads, according to the available data) and Abstracts Views on Vision4Press platform.

Data correspond to usage on the plateform after 2015. The current usage metrics is available 48-96 hours after online publication and is updated daily on week days.

Initial download of the metrics may take a while.