Highlight
Open Access

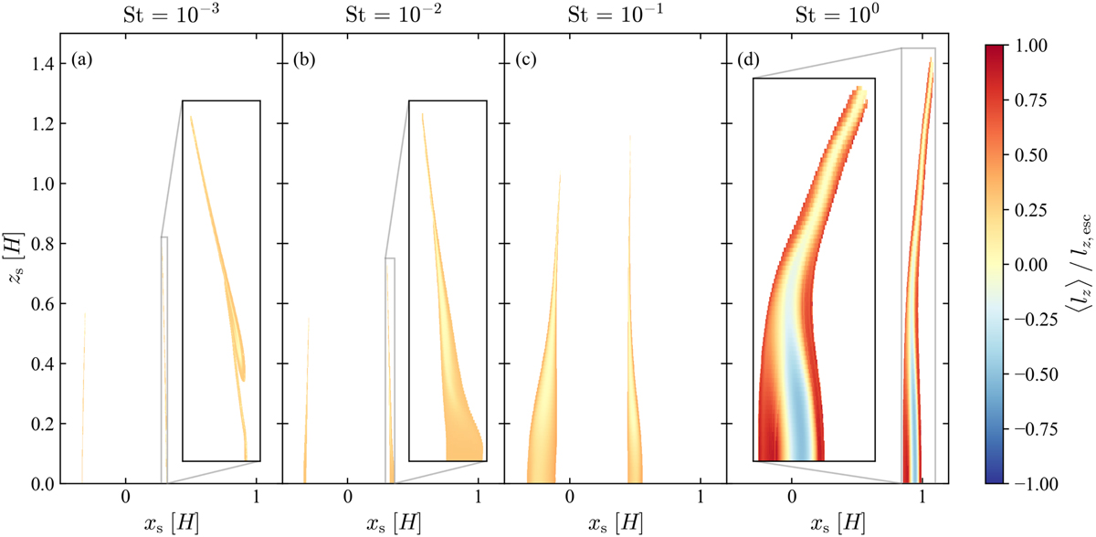
Fig. 6

image

Download original image

Heat maps of the initial positions of the accreted pebbles with St = 10−3, 10−2, 10−1 and 100 under the influence of the protoplanet-induced gas flow. The gas flow field is obtained from m0100-01au run. The colors indicate the SAM transferred by individual pebbles to the protoplanet, with red contributing to prograde spin and blue contributing to retrograde spin. The two islands in panels a, b, and c correspond to the accretion bands of pebbles coming from the different y directions. We note that due to the low pebble density at the high altitude, the contribution of pebbles coming from high altitude becomes negligible as the Stokes number increases.

Current usage metrics show cumulative count of Article Views (full-text article views including HTML views, PDF and ePub downloads, according to the available data) and Abstracts Views on Vision4Press platform.

Data correspond to usage on the plateform after 2015. The current usage metrics is available 48-96 hours after online publication and is updated daily on week days.

Initial download of the metrics may take a while.