Fig. 1.

Download original image
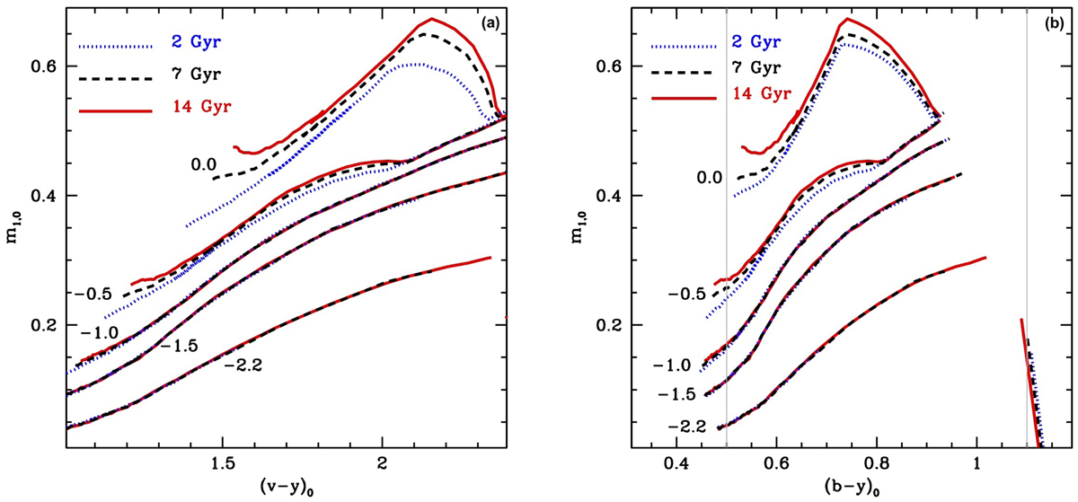
RGB isochrones from the PARSEC set (Bressan et al. 2012; Chen et al. 2019) in the (v − y)0 − m1, 0 plane (left panel) and in the (b − y)0 − m1, 0 plane (right panel). The five bundles of three isochrones of different ages (2, 7, and 14 Gyr) are labelled with their global metallicity [M/H] = 0.0, −0.5, −1.0, −1.5, −2.2 (from top to bottom). The plot in the left panel is limited to the (v − y)0 colour range in which the photometric metallicities are actually computed. In the right panel are plotted only the part of the isochrones whose (v − y)0 colour is in the permitted range, while the range of validity of the H00 calibration in (b − y)0 is enclosed between the two grey vertical lines.
Current usage metrics show cumulative count of Article Views (full-text article views including HTML views, PDF and ePub downloads, according to the available data) and Abstracts Views on Vision4Press platform.
Data correspond to usage on the plateform after 2015. The current usage metrics is available 48-96 hours after online publication and is updated daily on week days.
Initial download of the metrics may take a while.