Fig. 9

Download original image
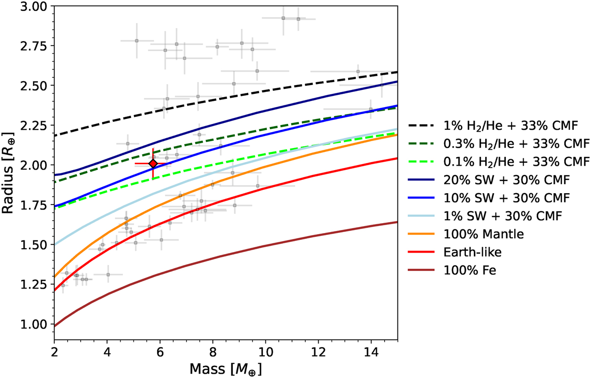
Mass-radius relations for SW planets (Acuña et al. 2021; Aguichine et al. 2021), planets with Earth-like cores and H/He envelopes (Lopez & Fortney 2014), and rocky planets with different iron contents (bottom three curves; Brugger et al. 2017). The atmospheres in volatile-rich planets are in radiative equilibrium for irradiation temperatures of 1200 K and 1000 K for water and H/He envelopes, respectively. Assuming an age of 4.4 Gyr, the position of TOI-733 b is as highlighted in red. Grey points correspond to planets less massive than 15 M⊕ with mass and radius data available from the NASA Exoplanet Archive. All planets have a limit on the radius uncertainty of 5%, and a limit on the mass of 15%. The mantle composition follows the model of Brugger et al. (2016) with both CMF and WMF equal to zero, and is made up of silicate rock. Earth has a CMF of 0.32 and a WMF of 0.0005.
Current usage metrics show cumulative count of Article Views (full-text article views including HTML views, PDF and ePub downloads, according to the available data) and Abstracts Views on Vision4Press platform.
Data correspond to usage on the plateform after 2015. The current usage metrics is available 48-96 hours after online publication and is updated daily on week days.
Initial download of the metrics may take a while.