Open Access
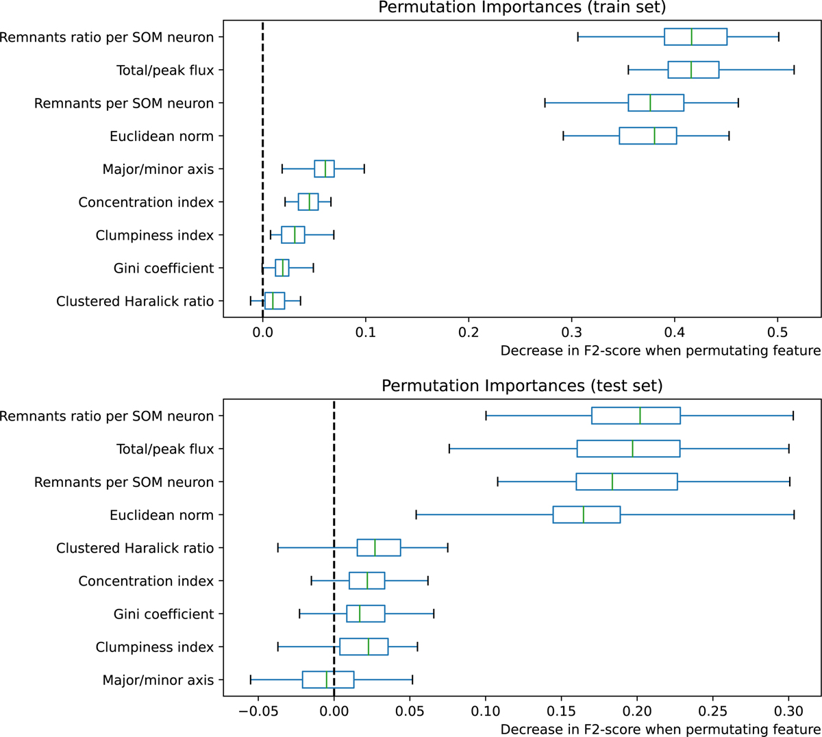
Fig. 9

Download original image
Importance of each feature permutation for our training set (top panel) and our test set (bottom panel) with respect to the F2-score. A higher F2-score indicates better predictive performance. The more important a feature is to the RF, the more the F2-score decreases after permuting this feature.
Current usage metrics show cumulative count of Article Views (full-text article views including HTML views, PDF and ePub downloads, according to the available data) and Abstracts Views on Vision4Press platform.
Data correspond to usage on the plateform after 2015. The current usage metrics is available 48-96 hours after online publication and is updated daily on week days.
Initial download of the metrics may take a while.