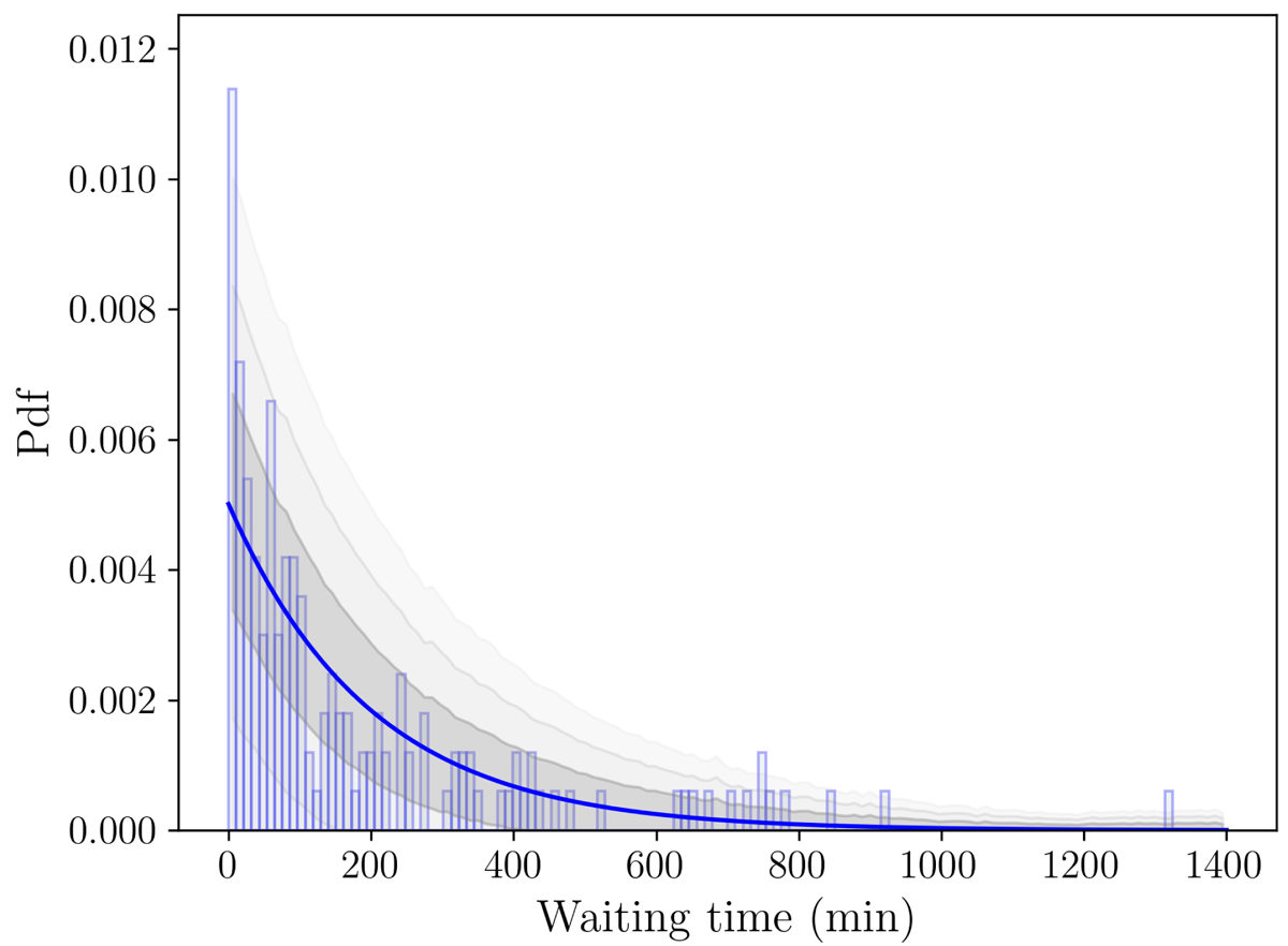
Fig. 6.

Download original image
Waiting time distribution of reconnection jets. The blue curve indicates the expected distribution for a random Poisson process and its associated uncertainty (1–3σ, grey shaded areas). A preliminary version of this figure is available in Woodfield et al. (2023), which is based on a previous version of Solar Orbiter data.
Current usage metrics show cumulative count of Article Views (full-text article views including HTML views, PDF and ePub downloads, according to the available data) and Abstracts Views on Vision4Press platform.
Data correspond to usage on the plateform after 2015. The current usage metrics is available 48-96 hours after online publication and is updated daily on week days.
Initial download of the metrics may take a while.