Open Access
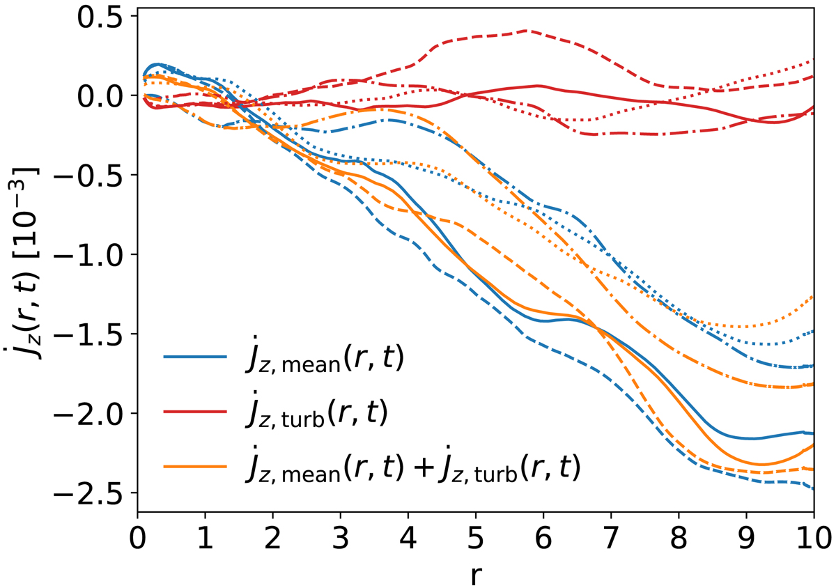
Fig. 20.

Download original image
Mean and turbulent components of the advective contribution to local angular momentum transfer rate for models A (full lines), A′ (dash-dotted lines), B (dashed lines), and C (dotted lines). The quantities are averaged over a time interval 250 ≤ t/Porb ≤ 275. Neglecting density perturbations, .
Current usage metrics show cumulative count of Article Views (full-text article views including HTML views, PDF and ePub downloads, according to the available data) and Abstracts Views on Vision4Press platform.
Data correspond to usage on the plateform after 2015. The current usage metrics is available 48-96 hours after online publication and is updated daily on week days.
Initial download of the metrics may take a while.