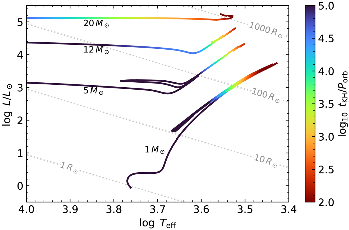
Fig. 24.

Download original image
Ratio of thermal timescale tKH to the orbital period of the binary Porb inside the shared envelope in the Hertzprung–Russel diagram constructed for four solar-metallicity nonrotating evolutionary tracks from the MIST database (Dotter 2016; Choi et al. 2016). Here, tKH = G(M1 + Menv)2/(2RL), where L is the luminosity of the star.
Current usage metrics show cumulative count of Article Views (full-text article views including HTML views, PDF and ePub downloads, according to the available data) and Abstracts Views on Vision4Press platform.
Data correspond to usage on the plateform after 2015. The current usage metrics is available 48-96 hours after online publication and is updated daily on week days.
Initial download of the metrics may take a while.