Fig. 9.

Download original image
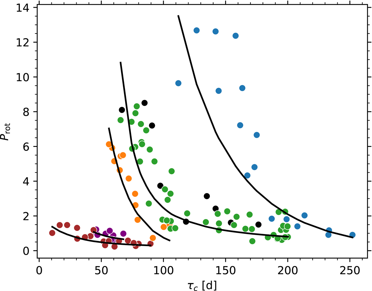
Rotation periods against convective turnover time (τc) for fast rotators selected from several young open clusters. The sequences show a clear exponential dependence on τc. NGC 2281 and M 37 are combined into a single fit. The black lines show cluster-by-cluster exponential fits to the data. The individual open clusters are Pleiades (brown, Rebull et al. 2016), NGC 2516 (purple, Fritzewski et al. 2020), NGC 3532 (orange, Fritzewski et al. 2021b), NGC 2281 (black, this work), M 37 (green, Hartman et al. 2009), and Praesepe (blue, Douglas et al. 2019).
Current usage metrics show cumulative count of Article Views (full-text article views including HTML views, PDF and ePub downloads, according to the available data) and Abstracts Views on Vision4Press platform.
Data correspond to usage on the plateform after 2015. The current usage metrics is available 48-96 hours after online publication and is updated daily on week days.
Initial download of the metrics may take a while.