Fig. 10.

Download original image
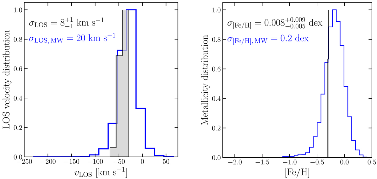
LOS velocity (left panel) and iron-over-hydrogen abundance (right panel) distributions for members of the selected structure (gray histogram) and for a Milky Way model (blue histogram). The intrinsic dispersions are also shown in the top left corners. All the distributions are scaled by a constant factor for visualization purposes only.
Current usage metrics show cumulative count of Article Views (full-text article views including HTML views, PDF and ePub downloads, according to the available data) and Abstracts Views on Vision4Press platform.
Data correspond to usage on the plateform after 2015. The current usage metrics is available 48-96 hours after online publication and is updated daily on week days.
Initial download of the metrics may take a while.