Open Access

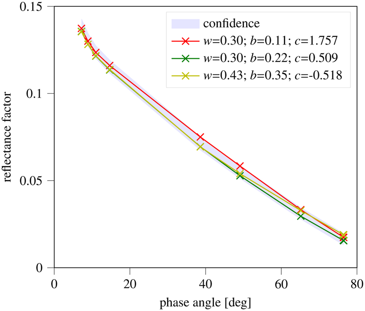
Fig. 6

image

Download original image

Confidence interval from Fig. 4 with some exemplary reflectance phase curves. Both strongly backscattering and forward-scattering material can fit into the confidence interval and could be considered acceptable solutions given the noise level. The shape of the phase curve only changes marginally across the accessible range of phase angles.

Current usage metrics show cumulative count of Article Views (full-text article views including HTML views, PDF and ePub downloads, according to the available data) and Abstracts Views on Vision4Press platform.

Data correspond to usage on the plateform after 2015. The current usage metrics is available 48-96 hours after online publication and is updated daily on week days.

Initial download of the metrics may take a while.