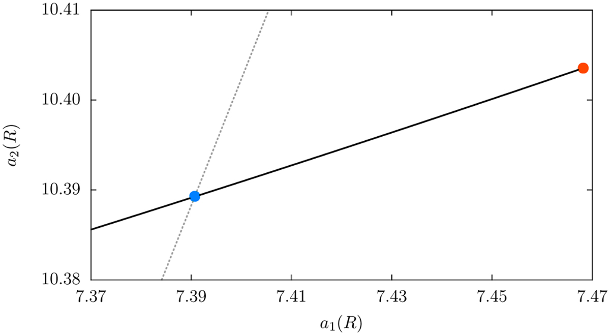
Fig. 4

Download original image
Tidal evolution of the semi-major axes of Ariel and Umbriel (Eq. (76)). The orange point marks the current observed values (Table 1). The dashed line gives the position of the nominal 5/3 MMR relation between a2 and a1 (Eq. (77)). The blue point gives the best estimation for the semi-major axes at the nominal resonance (Eq. (78)).
Current usage metrics show cumulative count of Article Views (full-text article views including HTML views, PDF and ePub downloads, according to the available data) and Abstracts Views on Vision4Press platform.
Data correspond to usage on the plateform after 2015. The current usage metrics is available 48-96 hours after online publication and is updated daily on week days.
Initial download of the metrics may take a while.