Fig. 11

Download original image
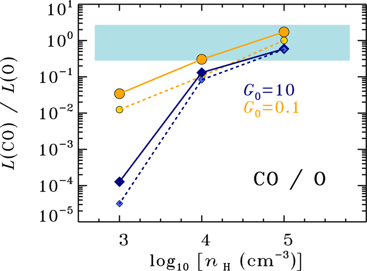
Ratio of the CO and [O I] luminosities as a function of preshock density for UV irradiated C–shock models and observations of Gy 3-7 cores and IM YSOs from Matuszak et al. (2015; light blue box). All models correspond to UV fields parameterized by G0 of 10 (in blue) and 0.1 (in orange). Solid lines connect models with shock velocities vs of 20 km s−1, and dashed lines – the models with vs of 10 km s−1.
Current usage metrics show cumulative count of Article Views (full-text article views including HTML views, PDF and ePub downloads, according to the available data) and Abstracts Views on Vision4Press platform.
Data correspond to usage on the plateform after 2015. The current usage metrics is available 48-96 hours after online publication and is updated daily on week days.
Initial download of the metrics may take a while.