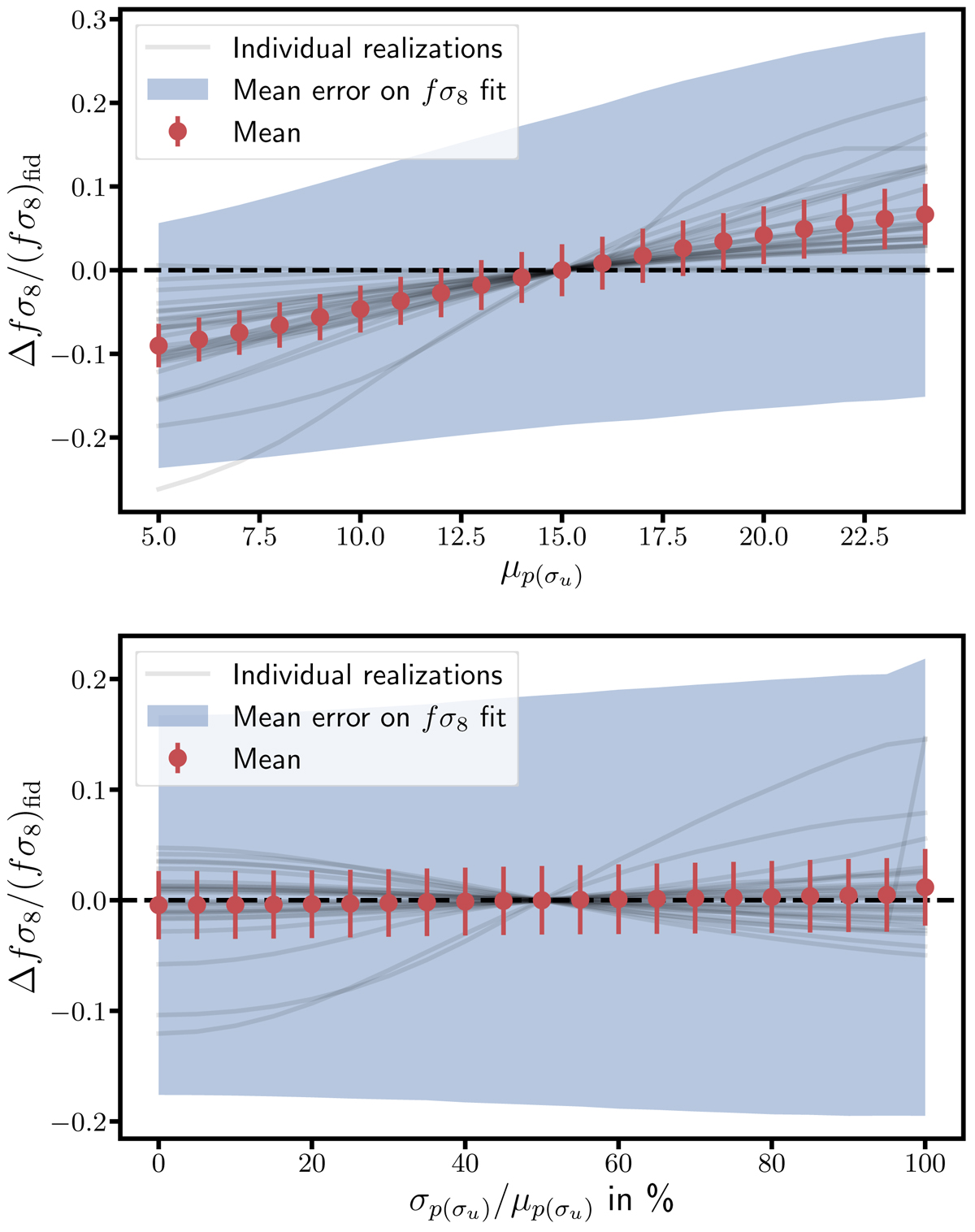
Fig. 12.

Download original image
Effect of the σu prior on the fσ8 fit results. Top panel: evolution of the difference between fσ8 fit value and our baseline (σp(σu) = 50%) in function of the central value of the Gaussian prior on σu. The width of the prior is fixed to σp(σu) = 10 h−1Mpc. Bottom panel: evolution of the difference between fσ8 fit value and our baseline (σp(σu) = 50%). The central value of the prior is fixed to μp(σu) = 15 h−1Mpc. We use the estimated velocities of the 6-year sample.
Current usage metrics show cumulative count of Article Views (full-text article views including HTML views, PDF and ePub downloads, according to the available data) and Abstracts Views on Vision4Press platform.
Data correspond to usage on the plateform after 2015. The current usage metrics is available 48-96 hours after online publication and is updated daily on week days.
Initial download of the metrics may take a while.