Open Access
Fig. 7.

Download original image
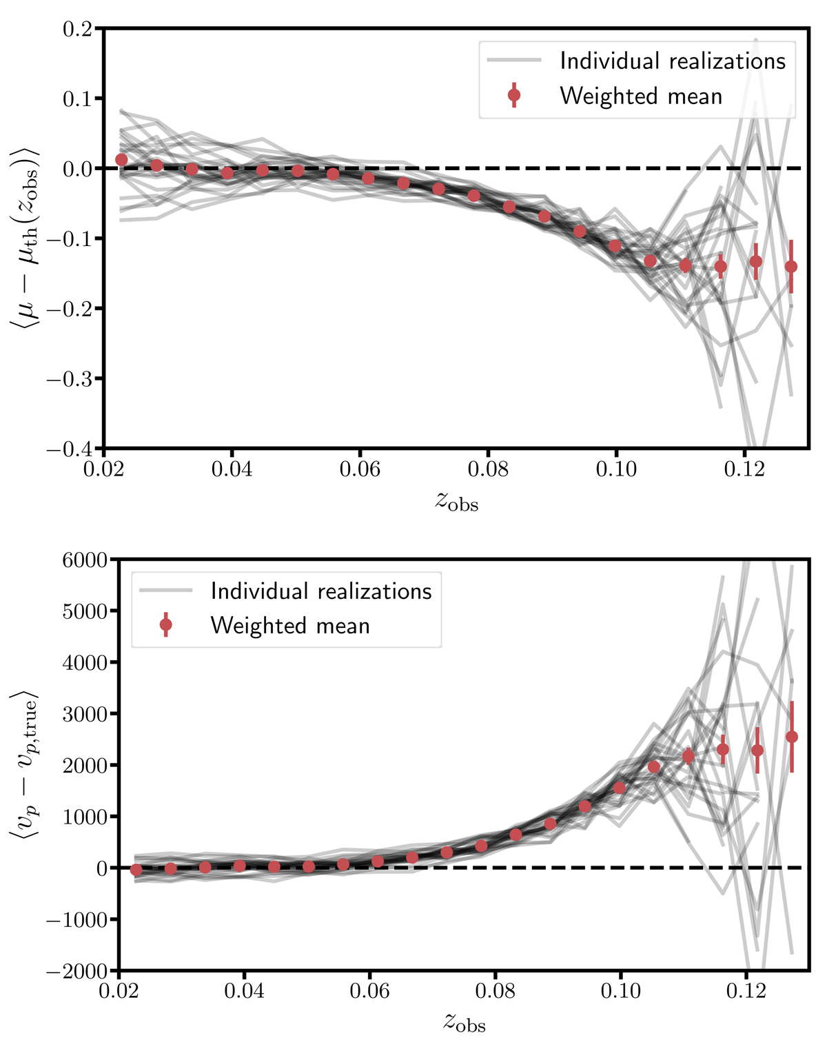
Hubble residuals and estimated velocities versus redshift. Top panel: Hubble residuals of the 27 mocks. The gray lines represent each mock, red points are the weighted means taken within each redshift bin. Bottom panel: same for the estimated peculiar velocities.
Current usage metrics show cumulative count of Article Views (full-text article views including HTML views, PDF and ePub downloads, according to the available data) and Abstracts Views on Vision4Press platform.
Data correspond to usage on the plateform after 2015. The current usage metrics is available 48-96 hours after online publication and is updated daily on week days.
Initial download of the metrics may take a while.