Fig. 10

Download original image
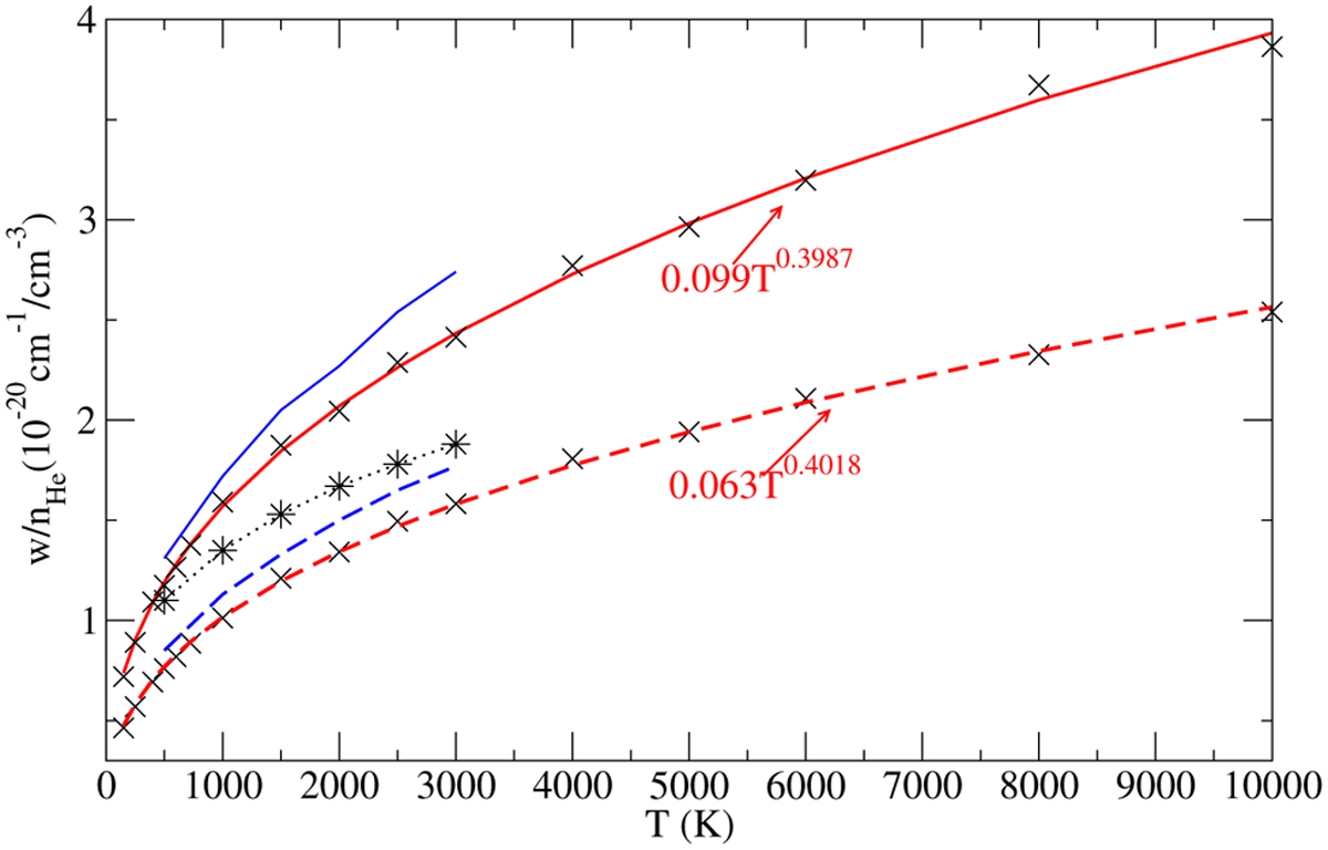
Variation with temperature of the broadening rate (w/nHe) of the D2 (solid line) and D1 (dashed line) resonance lines of Na perturbed by He collisions using the potentials of Dell’Angelo et al. (2012, red curves), Pascale (1983, blue curves), van der Waals potentials (black dotted). The rates are in units of 10−20 cm−1/cm−3.
Current usage metrics show cumulative count of Article Views (full-text article views including HTML views, PDF and ePub downloads, according to the available data) and Abstracts Views on Vision4Press platform.
Data correspond to usage on the plateform after 2015. The current usage metrics is available 48-96 hours after online publication and is updated daily on week days.
Initial download of the metrics may take a while.