Open Access
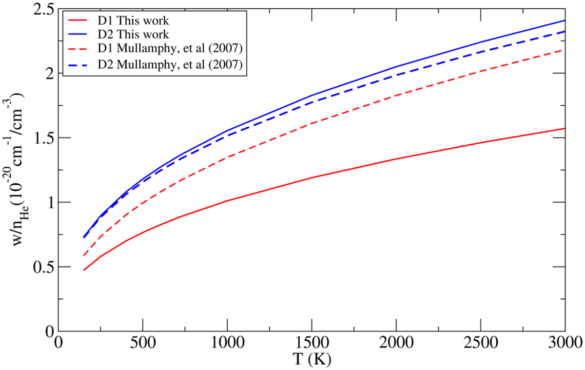
Fig. 12

Download original image
Comparison of theoretical broadening rates (ω/nHe) for the D1 (red) and D2 (blue) resonance lines, using the power-law fitted temperature dependence from the present work (solid), Eqs. (11)–(12), with the power laws obtained by Mullamphy et al. (2007) (dashed). The rates are in units of 10−20 cm−1/cm−3.
Current usage metrics show cumulative count of Article Views (full-text article views including HTML views, PDF and ePub downloads, according to the available data) and Abstracts Views on Vision4Press platform.
Data correspond to usage on the plateform after 2015. The current usage metrics is available 48-96 hours after online publication and is updated daily on week days.
Initial download of the metrics may take a while.