Fig. 6

Download original image
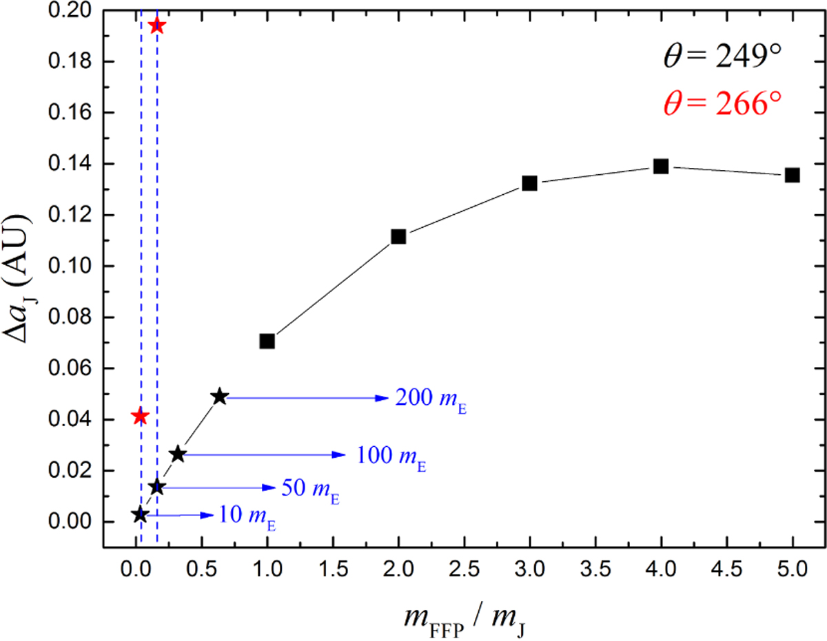
Migration amplitude ΔaJ of Jupiter as a function of the FFP’s mass mFFP in the scenario of the close encounter. The values of mFFP are given in units of Jupiter masses mJ. For reference, less massive FFPs are indicated by their mass values in units of Earth masses mE. The phase angles θ of Jupiter are taken to be: (i) the specific value of θ* = 249° (black symbols); (ii) another representative value of 266° (red symbols). The third parameter of the system, d, is the same as before ().
Current usage metrics show cumulative count of Article Views (full-text article views including HTML views, PDF and ePub downloads, according to the available data) and Abstracts Views on Vision4Press platform.
Data correspond to usage on the plateform after 2015. The current usage metrics is available 48-96 hours after online publication and is updated daily on week days.
Initial download of the metrics may take a while.