Highlight
Open Access

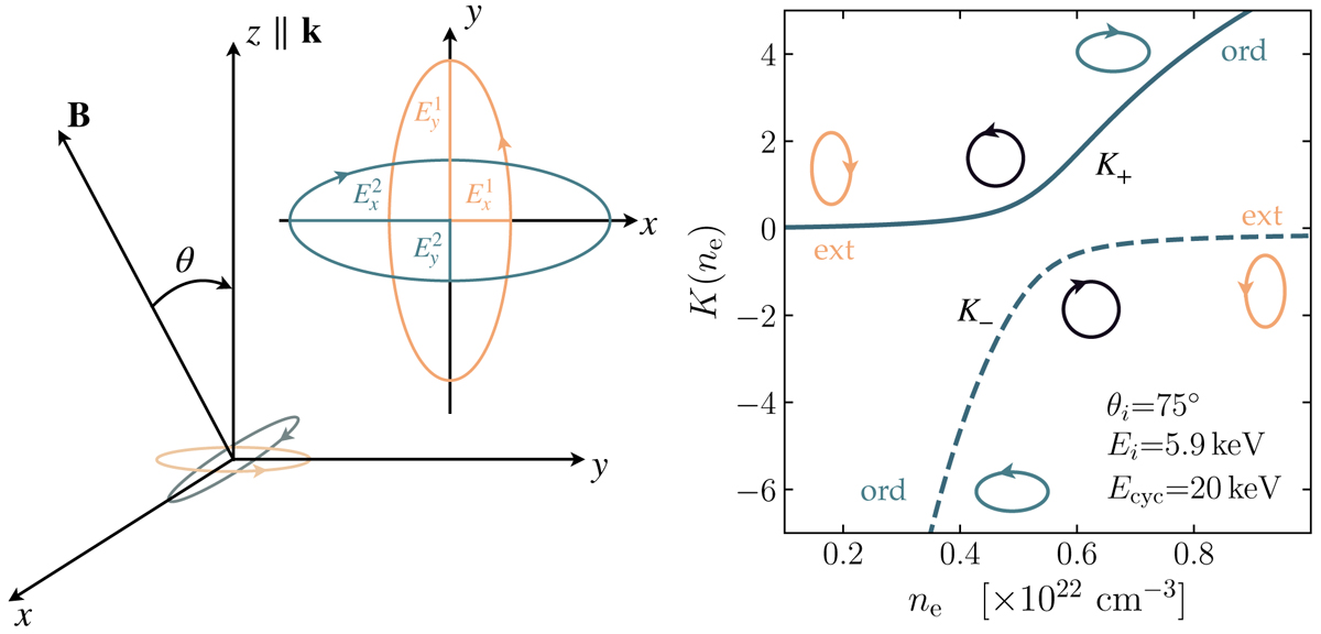
Fig. 1.

image

Download original image

Definition of the polarization modes. Left: coordinate system chosen to define ellipses of the polarization modes. Right: dependency of the ellipticity of the polarization modes on the electron number density. The vacuum resonance occurs in the center of the figure. Based on Fig. 1 from Lai & Ho (2003).

Current usage metrics show cumulative count of Article Views (full-text article views including HTML views, PDF and ePub downloads, according to the available data) and Abstracts Views on Vision4Press platform.

Data correspond to usage on the plateform after 2015. The current usage metrics is available 48-96 hours after online publication and is updated daily on week days.

Initial download of the metrics may take a while.