Open Access
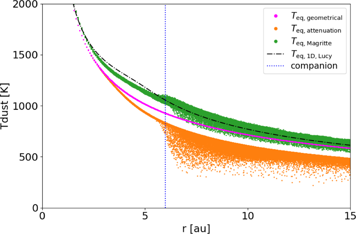
Fig. 13

Download original image
Radiative equilibrium temperature as a function of distance from the primary AGB star, for the simulation using the attenuation prescription. Magenta represents the temperature calculated, using the geometrical prescription, orange using the attenuation prescription, and green using MAGRITTE.
Current usage metrics show cumulative count of Article Views (full-text article views including HTML views, PDF and ePub downloads, according to the available data) and Abstracts Views on Vision4Press platform.
Data correspond to usage on the plateform after 2015. The current usage metrics is available 48-96 hours after online publication and is updated daily on week days.
Initial download of the metrics may take a while.