Open Access
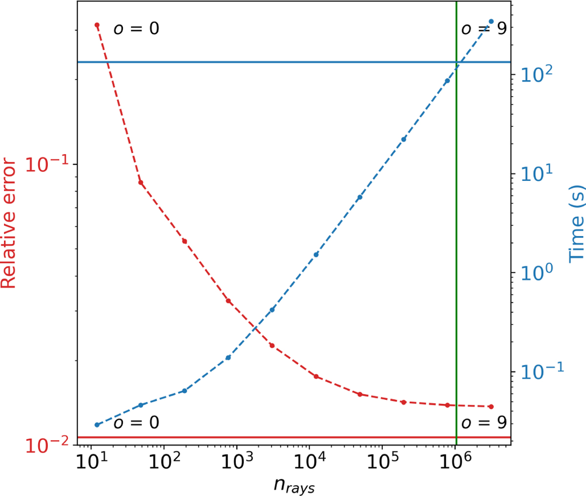
Fig. A.1

Download original image
Relative error (Eq. A.1) and computation time, required for calculating τ as a function of the number of rays traced in the reference model. The solid red line represents the relative error using the SPH nearest neighbours, blue the computation time, and green the number of rays in the IRS case.
Current usage metrics show cumulative count of Article Views (full-text article views including HTML views, PDF and ePub downloads, according to the available data) and Abstracts Views on Vision4Press platform.
Data correspond to usage on the plateform after 2015. The current usage metrics is available 48-96 hours after online publication and is updated daily on week days.
Initial download of the metrics may take a while.