Fig. 6.

Download original image
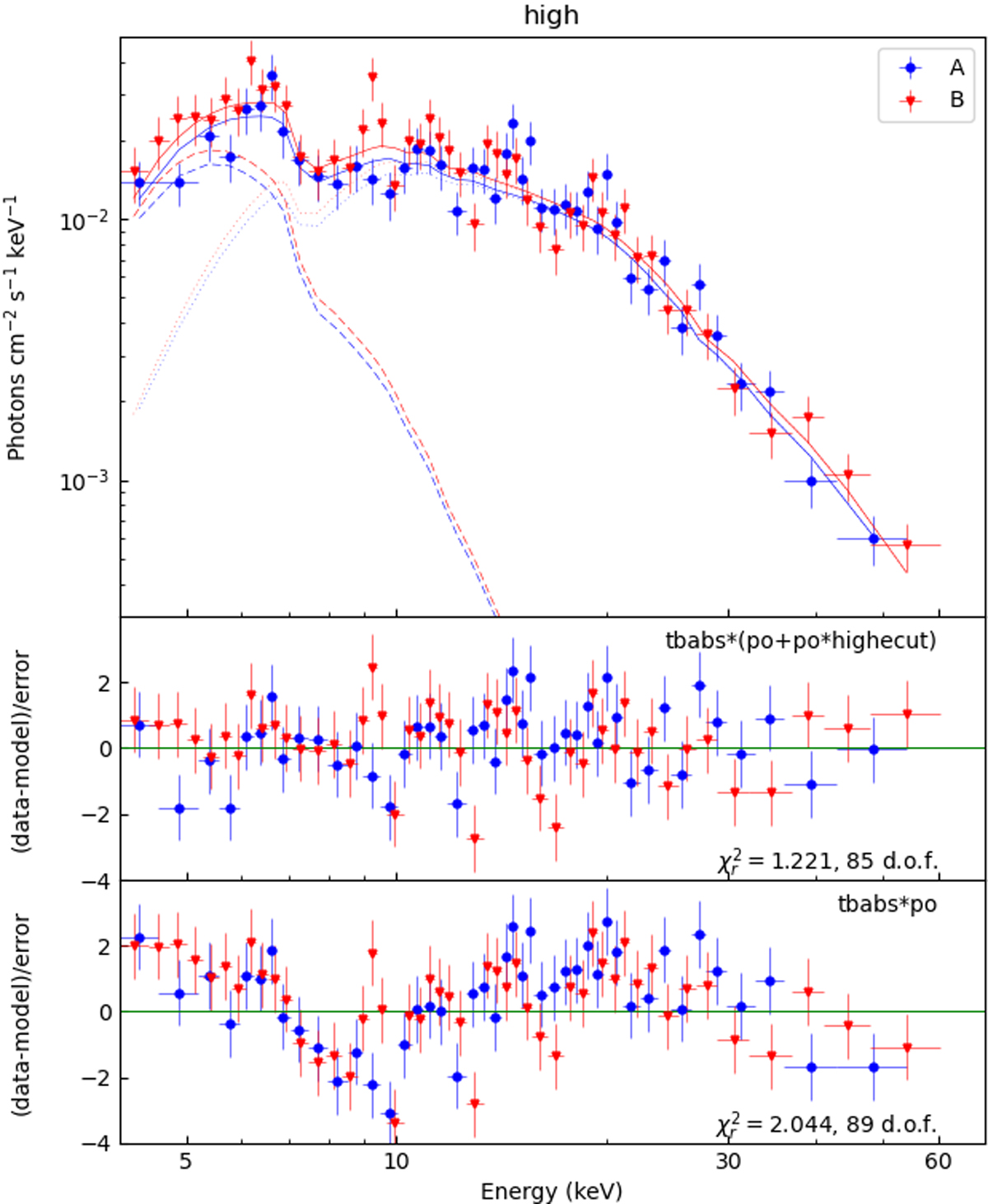
NuSTAR (blue circles: module A; red triangles: module B) spectra of J17407 during the high luminosity state (i.e., flares; red triangles in Fig. 3). Top panel: spectra are fitted with two power law, both absorbed, one of them with a high-energy cutoff. Middle panel: residuals of the same fit of the top panel. Bottom panel: residuals of the fit of the spectra with an absorbed power law. The purpose of this panel is to highlight the presence of a feature in the residuals at ∼8.6 keV, which requires the use of a more complex model, as described in Sect. 3.2. See Table 2 for the best-fit parameters, also with other spectral models.
Current usage metrics show cumulative count of Article Views (full-text article views including HTML views, PDF and ePub downloads, according to the available data) and Abstracts Views on Vision4Press platform.
Data correspond to usage on the plateform after 2015. The current usage metrics is available 48-96 hours after online publication and is updated daily on week days.
Initial download of the metrics may take a while.