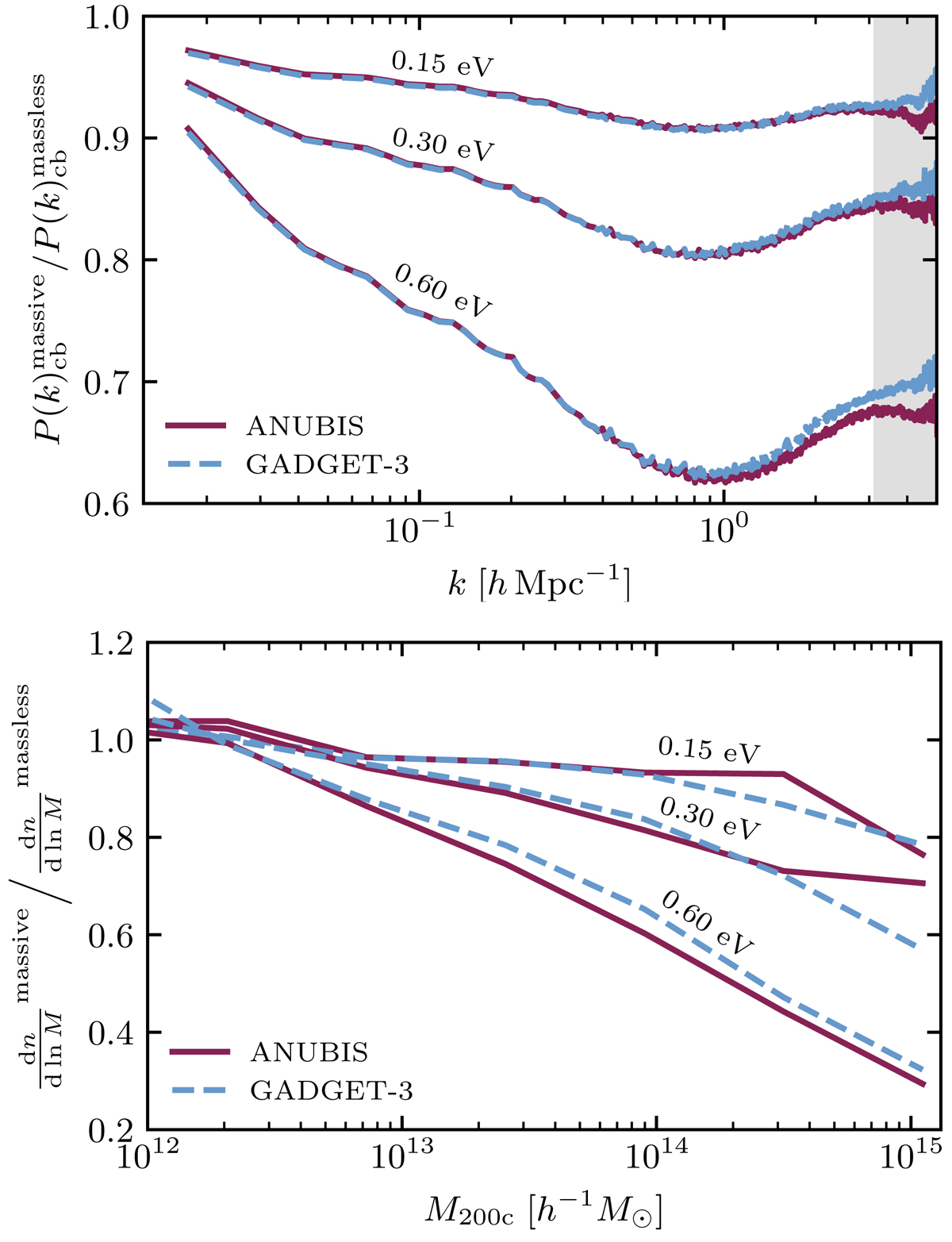
Fig. 1.

Download original image
Comparison of the neutrino suppression on the cb power spectrum and HMF for ANUBIS and GADGET-3 at z = 0 for various values of the sum of the neutrino masses. Top: the neutrino suppression on the cb power spectrum. The greyed-out area indicates the parts of the ratios lying outside of the Nyquist frequency of the simulations. Bottom: the neutrino suppression on the HMF. Only halos with Npart ≥ 11 are included.
Current usage metrics show cumulative count of Article Views (full-text article views including HTML views, PDF and ePub downloads, according to the available data) and Abstracts Views on Vision4Press platform.
Data correspond to usage on the plateform after 2015. The current usage metrics is available 48-96 hours after online publication and is updated daily on week days.
Initial download of the metrics may take a while.