Open Access
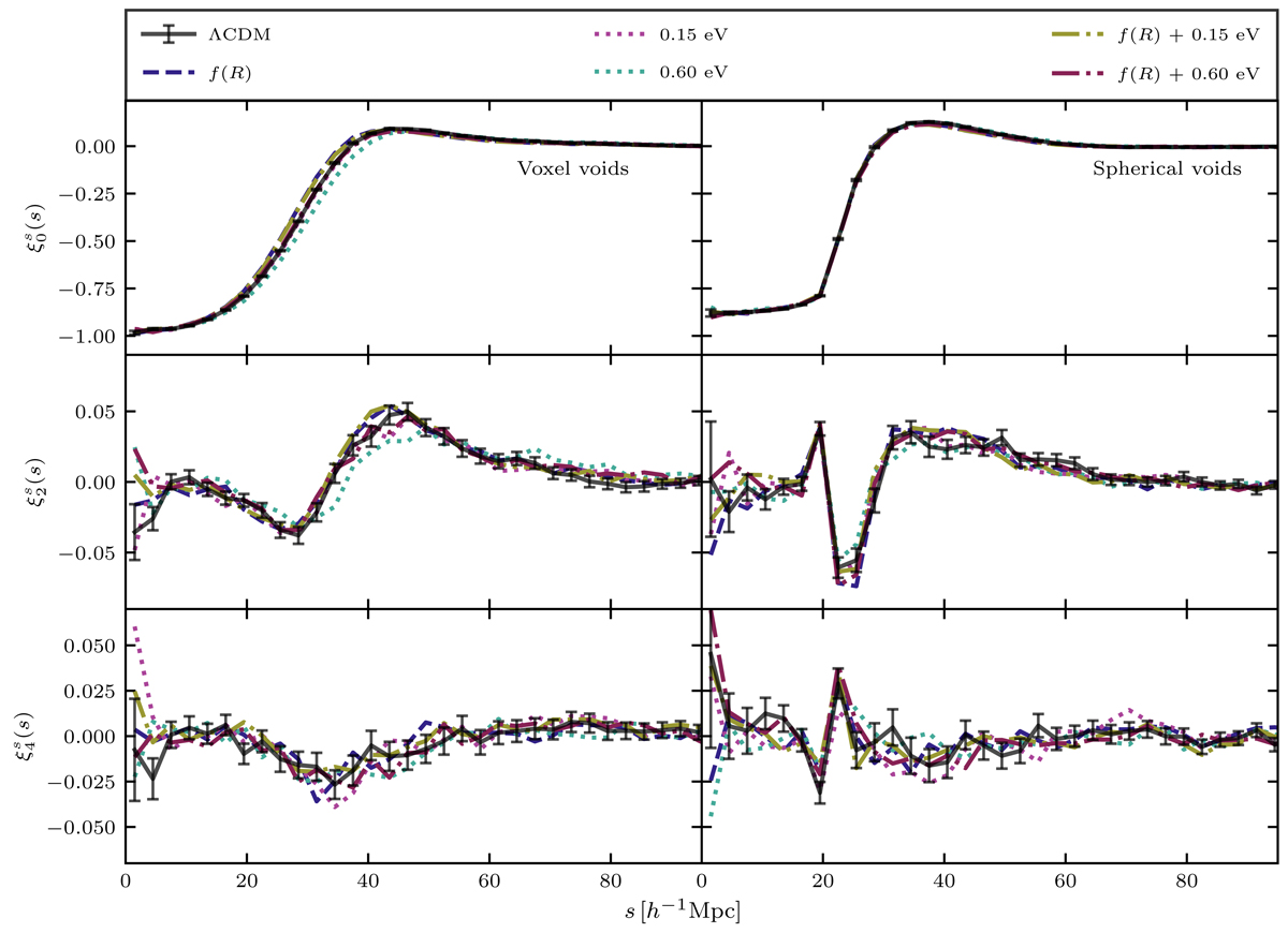
Fig. 11.

Download original image
Void-halo CCF for the ANUBISIS simulation data. The voxel and spherical void definitions are shown in the left and right columns respectively. The error bars are estimated using a Jackknife technique and are only shown for the ΛCDM case for a tidier visual representation of the data.
Current usage metrics show cumulative count of Article Views (full-text article views including HTML views, PDF and ePub downloads, according to the available data) and Abstracts Views on Vision4Press platform.
Data correspond to usage on the plateform after 2015. The current usage metrics is available 48-96 hours after online publication and is updated daily on week days.
Initial download of the metrics may take a while.