Fig. 12.

Download original image
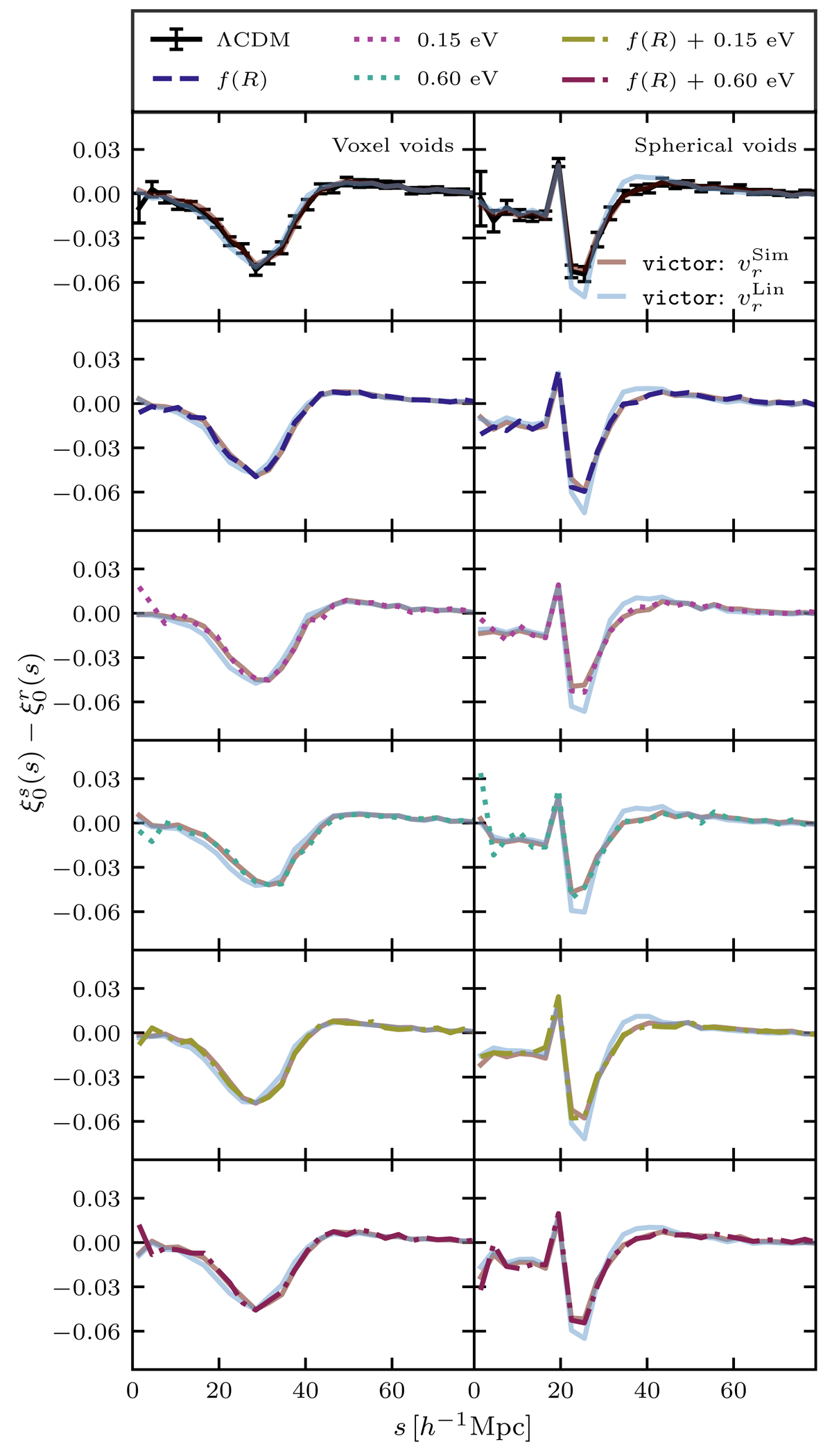
Difference between the redshift and real space monopole of the void-halo CCF from the ANUBISIS simulations vs. theory calculated by Victor. The results are obtained by using the voxel and spherical void definitions in the left and right columns respectively. Two theory results from Victor are included, one where the velocity profile is given by linear theory and one where it is given by a template. The template used in this case is the velocity profile calculated from the simulation data.
Current usage metrics show cumulative count of Article Views (full-text article views including HTML views, PDF and ePub downloads, according to the available data) and Abstracts Views on Vision4Press platform.
Data correspond to usage on the plateform after 2015. The current usage metrics is available 48-96 hours after online publication and is updated daily on week days.
Initial download of the metrics may take a while.