Open Access

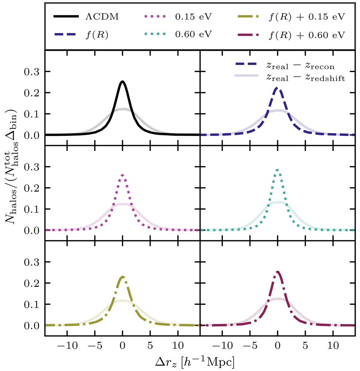
Fig. 15.

image

Download original image

Difference in the LOS coordinate between real space and reconstructed real space for the ANUBISIS simulations shown in the regular linestyle and colour. The weaker full line of the same colour shows the difference between the LOS coordinate in real and redshift space.

Current usage metrics show cumulative count of Article Views (full-text article views including HTML views, PDF and ePub downloads, according to the available data) and Abstracts Views on Vision4Press platform.

Data correspond to usage on the plateform after 2015. The current usage metrics is available 48-96 hours after online publication and is updated daily on week days.

Initial download of the metrics may take a while.