Fig. A.1.

Download original image
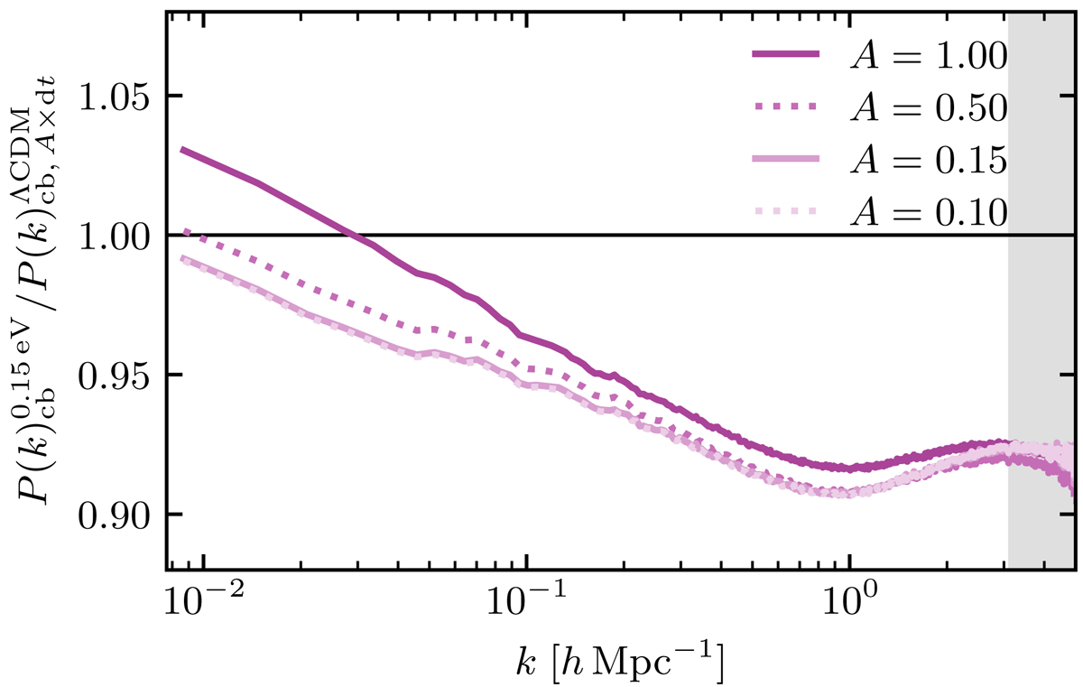
Matter power spectrum ratio between a 0.15 eV massive neutrinos simulation and a ΛCDM simulation with varying timestep, performed by ANUBIS. The simulation box has Lbox = 1024 h−1Mpc, Ncdm = Nν = 10243, and a fixed coarse base grid of 5123. The time step is calculated by the RAMSES algorithm for both runs, but for the ΛCDM case it is multiplied by a reduction factor, A. We see here that one way to compensate for the coarse base grid, especially at large scales, is to shorten the time step. This requires a longer run time for the ΛCDM simulation, but not more memory as would be the result of adopting a finer grid.
Current usage metrics show cumulative count of Article Views (full-text article views including HTML views, PDF and ePub downloads, according to the available data) and Abstracts Views on Vision4Press platform.
Data correspond to usage on the plateform after 2015. The current usage metrics is available 48-96 hours after online publication and is updated daily on week days.
Initial download of the metrics may take a while.