Open Access

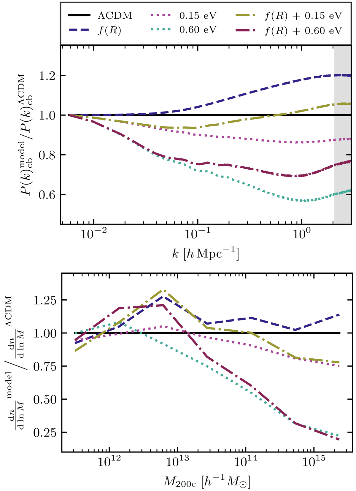
Fig. 3.

image

Download original image

CDM + baryon (cb) matter power spectrum and HMF of the different ANUBISIS simulations, compared to ΛCDM. The power spectrum and HMF ratios are displayed in the top and bottom panels respectively. For the power spectrum, the greyed-out area indicates the parts of the ratios lying outside of the Nyquist frequency of the simulations.

Current usage metrics show cumulative count of Article Views (full-text article views including HTML views, PDF and ePub downloads, according to the available data) and Abstracts Views on Vision4Press platform.

Data correspond to usage on the plateform after 2015. The current usage metrics is available 48-96 hours after online publication and is updated daily on week days.

Initial download of the metrics may take a while.