Open Access
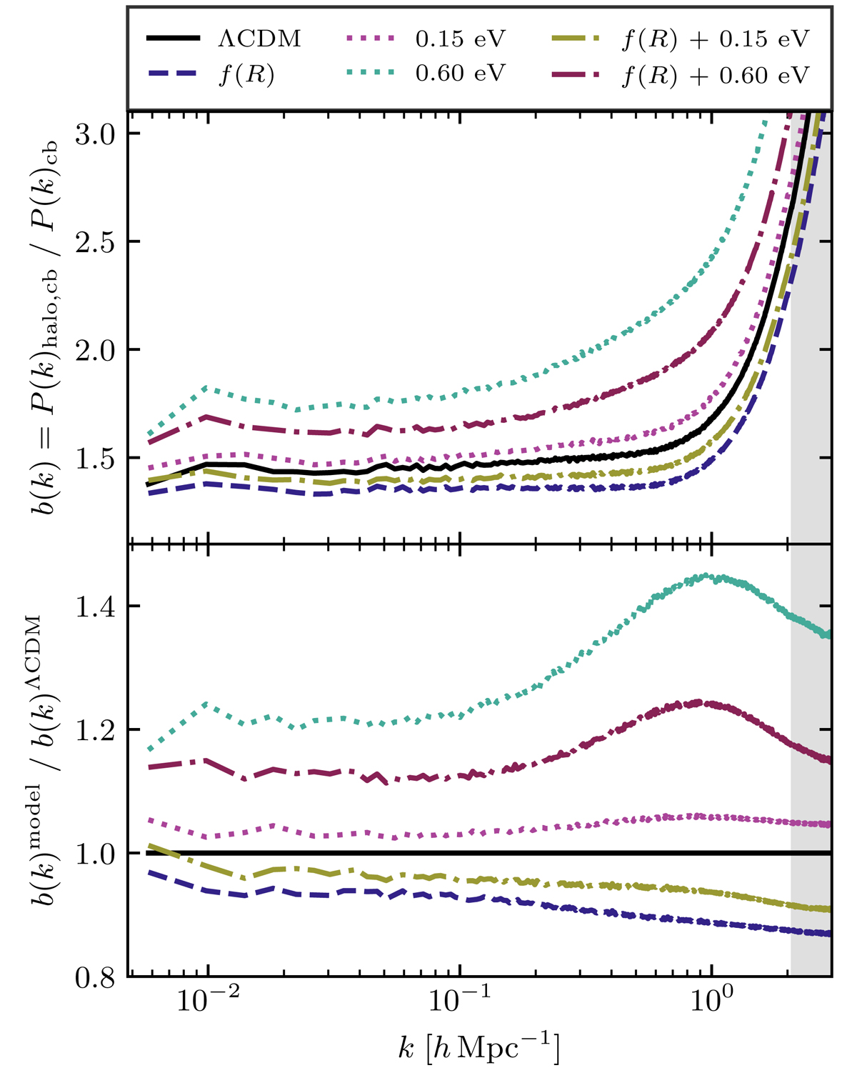
Fig. 4.

Download original image
Scale-dependent halo bias for the various ANUBISIS simulations. The upper panel shows the value of the bias for each simulation, while the lower panel shows the ratio with ΛCDM for each model. The greyed-out area indicates the parts lying outside of the Nyquist frequency of the simulations.
Current usage metrics show cumulative count of Article Views (full-text article views including HTML views, PDF and ePub downloads, according to the available data) and Abstracts Views on Vision4Press platform.
Data correspond to usage on the plateform after 2015. The current usage metrics is available 48-96 hours after online publication and is updated daily on week days.
Initial download of the metrics may take a while.