Open Access
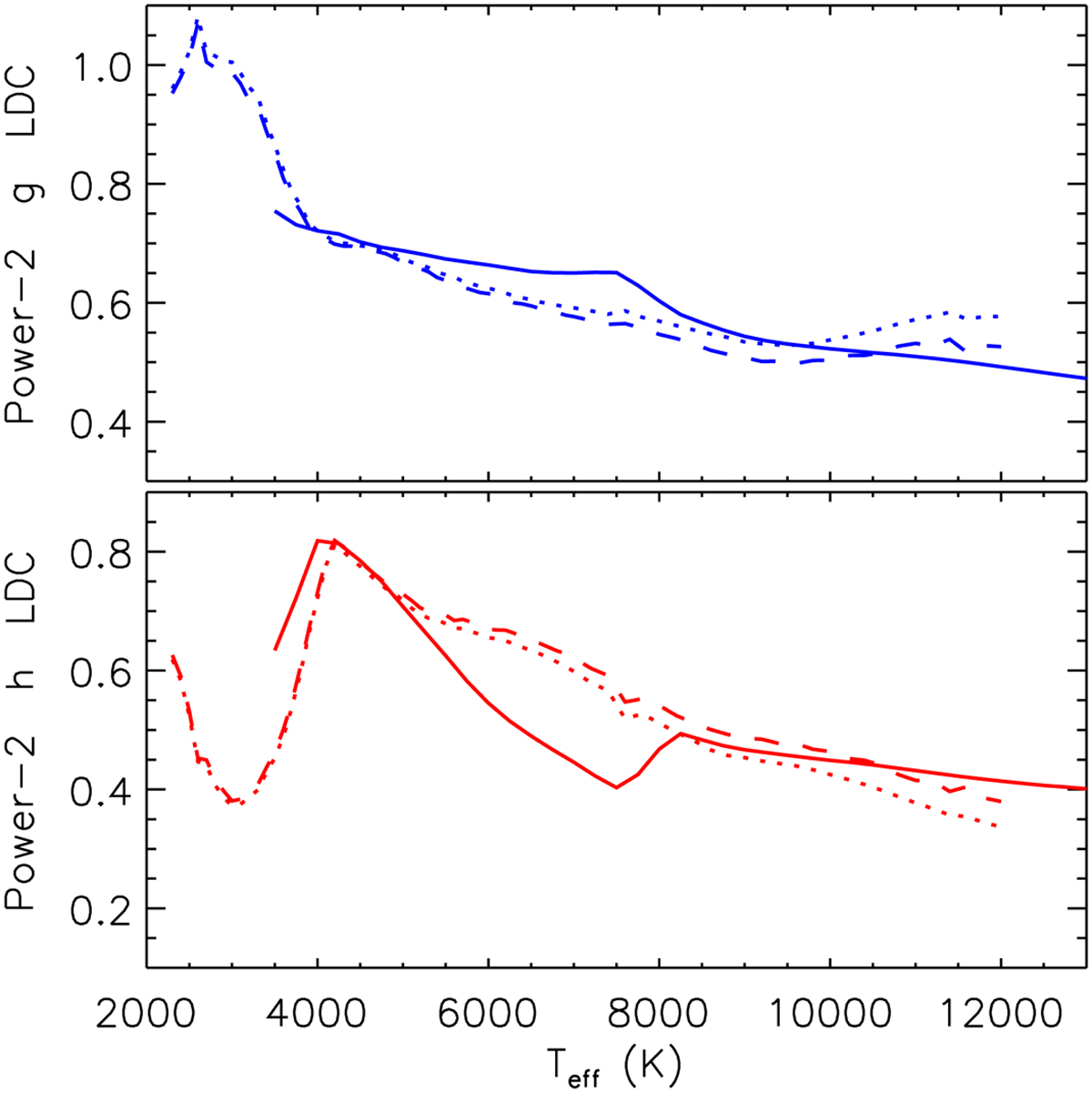
Fig. 11

Download original image
Comparison between the power-2 g (upper panel) and h (lower panel) LDCs in the case of plane-parallel model atmospheres (solid lines) and spherical model atmospheres for cases M1 (dotted lines) and M2 (dashed lines).
Current usage metrics show cumulative count of Article Views (full-text article views including HTML views, PDF and ePub downloads, according to the available data) and Abstracts Views on Vision4Press platform.
Data correspond to usage on the plateform after 2015. The current usage metrics is available 48-96 hours after online publication and is updated daily on week days.
Initial download of the metrics may take a while.