Open Access

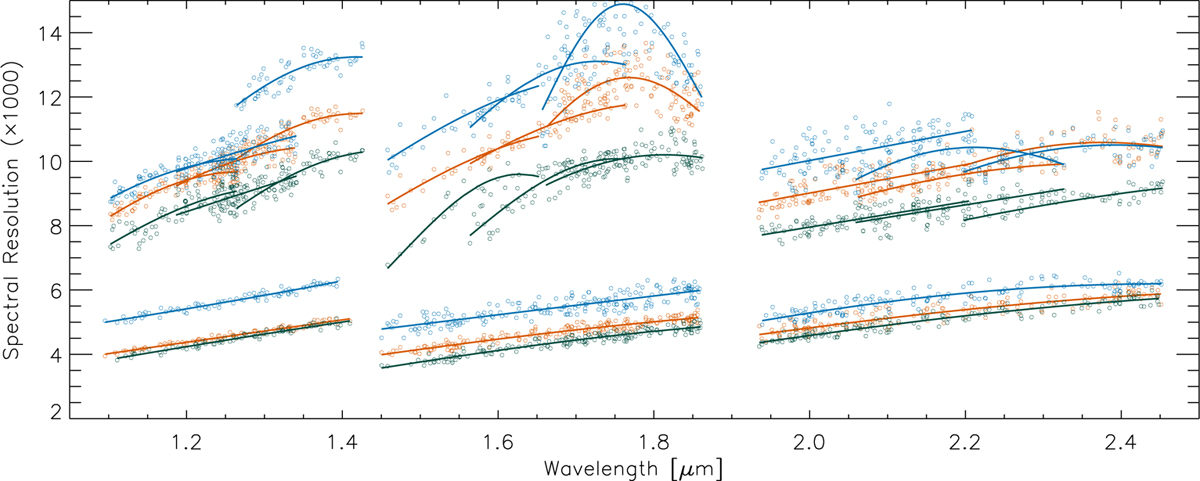
Fig. 11

image

Download original image

Spectral resolution in SPIFFIER for every band, grating, and pixel scale. The data were measured from arclamp exposures, as reported by one of the pipeline products. The pixel scale is indicated by colour (250 mas in green, 100 mas in red, 25 mas in blue). The points for each configuration are fitted as a quadratic function of wavelength.

Current usage metrics show cumulative count of Article Views (full-text article views including HTML views, PDF and ePub downloads, according to the available data) and Abstracts Views on Vision4Press platform.

Data correspond to usage on the plateform after 2015. The current usage metrics is available 48-96 hours after online publication and is updated daily on week days.

Initial download of the metrics may take a while.